Operation CHARM: Car repair manuals for everyone.
Manuals through 2025 now available!

Our trusted friends have launched a new website named LEMON, which has newer manuals. It also contains all the CHARM manuals.

LEMON is the spiritual successor to CHARM, I recommend you try it!

Link: lemon-manuals.la or lemon-manuals.org.ua

(Some people have issue connecting. LEMON is investigating. For now, use Firefox or change your DNS server)

Or, hide this message: temporarily or permanently

Differential Assembly

SPECIFICATIONS





When replacing a rear differential assembly, select the correct one according to the following table.

NOTE: Using the different rear differential assembly causes the drive line and tires to "drag" or emit abnormal noise.





^ Identification

^ Rear differential gear oil





Recommended oil

CAUTION: Each oil manufacturer has its base oil and additives. Thus, do not mix two or more brands.





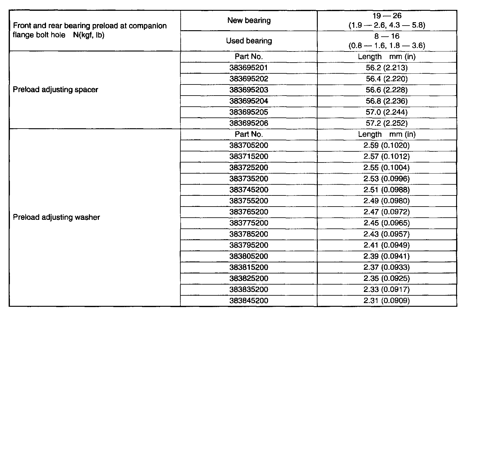
SERVICE DATA








ADJUSTING PARTS