Operation CHARM: Car repair manuals for everyone.
Manuals through 2025 now available!

Our trusted friends have launched a new website named LEMON, which has newer manuals. It also contains all the CHARM manuals.

LEMON is the spiritual successor to CHARM, I recommend you try it!

Link: lemon-manuals.la or lemon-manuals.org.ua

(Some people have issue connecting. LEMON is investigating. For now, use Firefox or change your DNS server)

Or, hide this message: temporarily or permanently

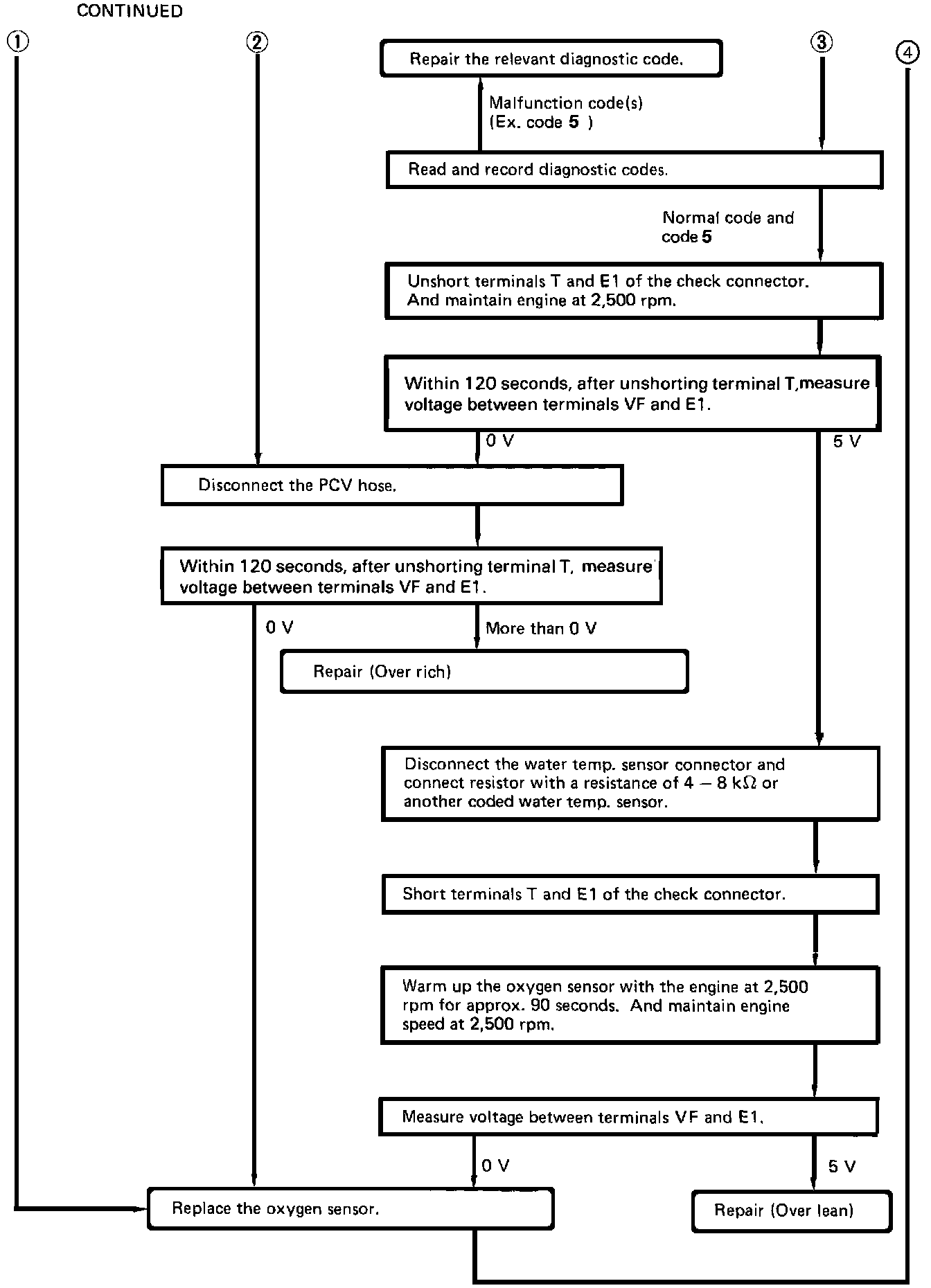
Oxygen Sensor: Testing and Inspection

OXYGEN SENSOR

INSPECTION OF FEEDBACK VOLTAGE (VF)






1.CONNECT SST AND VOLTMETER.
Connect SST to the EFI check connector and connect a voltmeter to SST.

*SST 09842-14010

Connect the positive (+) probe to the red wire of the SST and negative (-) probe to the black wire.

2. WARM UP ENGINE TO NORMAL OPERATING TEMPERATURE.










3. PERFORM THE TEST AS SHOWN IN THE FLOW CHART.