Operation CHARM: Car repair manuals for everyone.
Manuals through 2025 now available!

Our trusted friends have launched a new website named LEMON, which has newer manuals. It also contains all the CHARM manuals.

LEMON is the spiritual successor to CHARM, I recommend you try it!

Link: lemon-manuals.la or lemon-manuals.org.ua

(Some people have issue connecting. LEMON is investigating. For now, use Firefox or change your DNS server)

Or, hide this message: temporarily or permanently

Keyless Entry Receiver: Service and Repair

REPLACE DOOR CONTROL RECEIVER AND TRANSMITTER

NOTE: When replacing the door control receiver and transmitter, registration of recognition code is necessary because they are provided as a single components.

a. Select the operation mode to perform from the following operation modes.
- Rewrite mode
- Confirmation mode

HINT:
- The rewrite mode is used to erase all the previously registered codes and register only new recognition codes.
- The confirmation mode is for confirming how many recognition codes are already registered before you rewrite recognition codes.

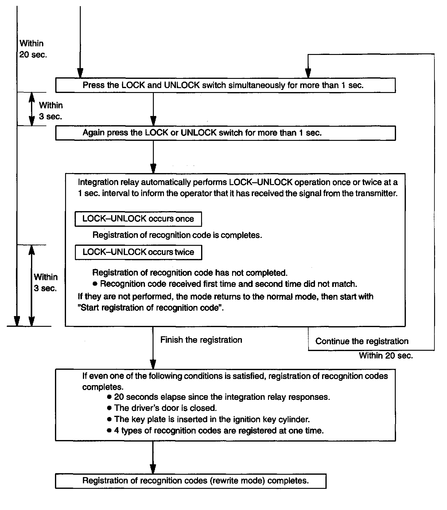
b. Follow the chart to register the transmitter recognition code at the wireless door lock control receiver.

Part 1:




Part 2:




Part 3:






HINT:
- When procedure is out of the specified, the operation returns to the normal operation.
- Maximum 4 recognition codes can be registered.