Operation CHARM: Car repair manuals for everyone.
Manuals through 2025 now available!

Our trusted friends have launched a new website named LEMON, which has newer manuals. It also contains all the CHARM manuals.

LEMON is the spiritual successor to CHARM, I recommend you try it!

Link: lemon-manuals.la or lemon-manuals.org.ua

(Some people have issue connecting. LEMON is investigating. For now, use Firefox or change your DNS server)

Or, hide this message: temporarily or permanently

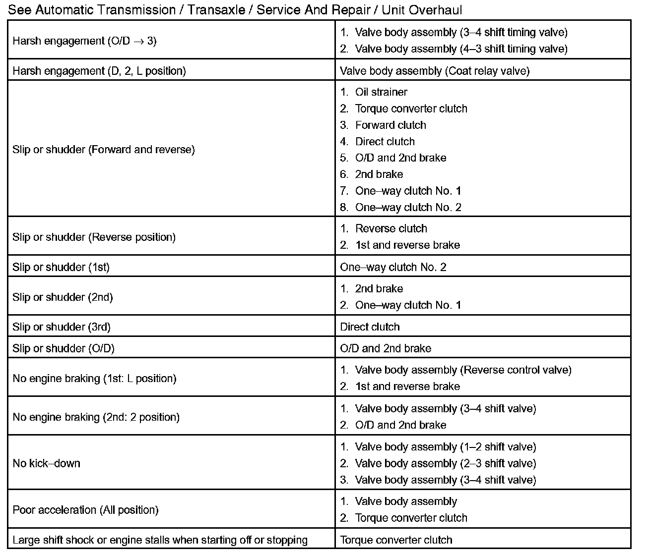
Symptom Index

PROBLEM SYMPTOMS TABLE

HINT: If a normal code is displayed during the diagnostic trouble code check although the trouble still occurs, check the electrical circuits for each symptom in the order given in the charts and proceed to the appropriate troubleshooting.

The Matrix Chart is divided into 2 charts.

Problem Symptom Table Part 1:




Problem Symptom Table Part 2:




1. Chart 1: Electronic Circuit Matrix Chart
- Refer to the table when the trouble cause is considered to be electrical.
- If the instruction "Proceed to next circuit inspection shown on matrix chart" is given in the flow chart of each circuit, proceed to the circuit with the next highest number in the table to continue the check.
- If the trouble still occurs even though there are no abnormalities in any of the other circuits, check and replace the ECM.

Problem Symptoms Table Part 1:




Problem Symptoms Table Part 2:




2. Chart 2: On-Vehicle Repair and Off-Vehicle Repair