Operation CHARM: Car repair manuals for everyone.
Manuals through 2025 now available!

Our trusted friends have launched a new website named LEMON, which has newer manuals. It also contains all the CHARM manuals.

LEMON is the spiritual successor to CHARM, I recommend you try it!

Link: lemon-manuals.la or lemon-manuals.org.ua

(Some people have issue connecting. LEMON is investigating. For now, use Firefox or change your DNS server)

Or, hide this message: temporarily or permanently

Registration

REGISTRATION

Flowchart Of Recognition Code Registration Part 1:




Flowchart Of Recognition Code Registration Part 2:




Flowchart Of Recognition Code Registration Part 3:




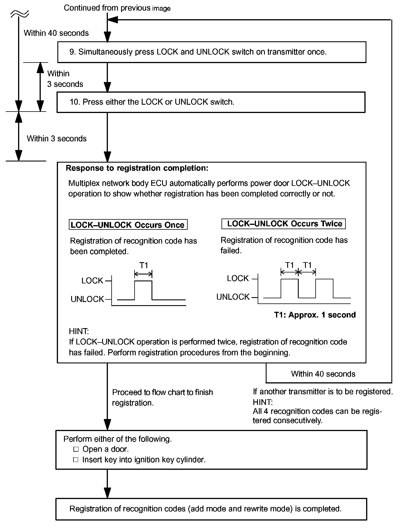
Flowchart Of Recognition Code Registration Part 4:






HINT:
- Recognition code registration is necessary when replacing the door control transmitter or the door control receiver.
- Add mode is used to register new recognition codes while still retaining codes already registered. This mode is used when a new transmitter is added. If the number of registered codes exceeds 4, the previously registered codes will be erased in order, starting from the first registered code.
- Rewrite mode is used to erase all previously registered recognition codes in order to register new recognition codes. This mode is used when the transmitter or the door control receiver is replaced.
- Confirmation mode is used to confirm how many recognition codes have already been registered before another recognition code is registered.
- Prohibition mode is used to erase all the registered codes and disable the wireless door lock function.
This mode is used when the transmitter is lost.
- All of the following registration procedures must be performed in order.