Operation CHARM: Car repair manuals for everyone.
Manuals through 2025 now available!

Our trusted friends have launched a new website named LEMON, which has newer manuals. It also contains all the CHARM manuals.

LEMON is the spiritual successor to CHARM, I recommend you try it!

Link: lemon-manuals.la or lemon-manuals.org.ua

(Some people have issue connecting. LEMON is investigating. For now, use Firefox or change your DNS server)

Or, hide this message: temporarily or permanently

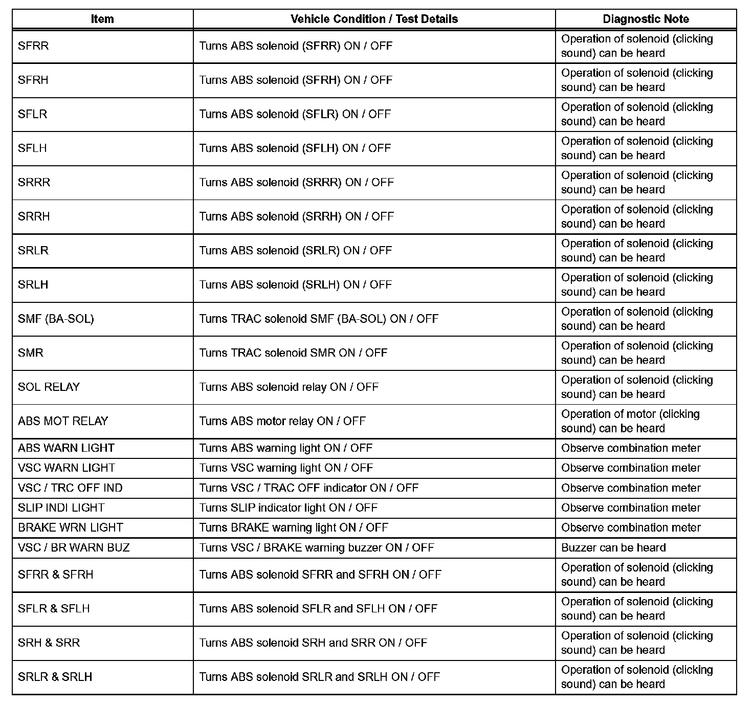
Active Test

ACTIVE TEST

HINT: Performing the ACTIVE TEST using the intelligent tester allows the relay, actuator, etc. to operate without removing any parts. Performing the ACTIVE TEST as the first step of troubleshooting is one of the methods to shorten labor time. It is possible to display the DATA LIST during the ACTIVE TEST.

Part 1:




Part 2:




a. Connect the intelligent tester to the DLC3.
b. Turn the ignition switch to the ON position.
c. According to the display on the tester, perform the ACTIVE TEST.

HINT: Ignition switch must be turned to the ON position to proceed to the ACTIVE TEST using the intelligent tester.