Operation CHARM: Car repair manuals for everyone.
Manuals through 2025 now available!

Our trusted friends have launched a new website named LEMON, which has newer manuals. It also contains all the CHARM manuals.

LEMON is the spiritual successor to CHARM, I recommend you try it!

Link: lemon-manuals.la or lemon-manuals.org.ua

(Some people have issue connecting. LEMON is investigating. For now, use Firefox or change your DNS server)

Or, hide this message: temporarily or permanently

Keyless Entry Transmitter: Testing and Inspection

DOOR CONTROL TRANSMITTER

REGISTRATION


NOTE: When replacing the theft deterrent ECU or transmitter, registration of recognition code is necessary because they are provided as single components.

1. Select the operation mode to perform from the operations.

HINT:
- Add mode is used to register new recognition codes while still retaining codes already registered. This mode is used when a new transmitter is added. If the number of registered codes exceeds 4, the previously registered codes will be erased in order, starting from the first registered code.
- Rewrite mode is used to erase all the previously registered recognition codes in order to register all-new recognition codes. This mode is used when the transmitter or the door control receiver is replaced with a new one.
- Confirmation mode is used to confirm how many recognition codes have already been registered before another recognition code is registered.
- Prohibition mode is used to erase all the registered codes and disable the wireless door lock function. This mode is used when the transmitter is lost.

Part 1:




Part 2:




Part 3:




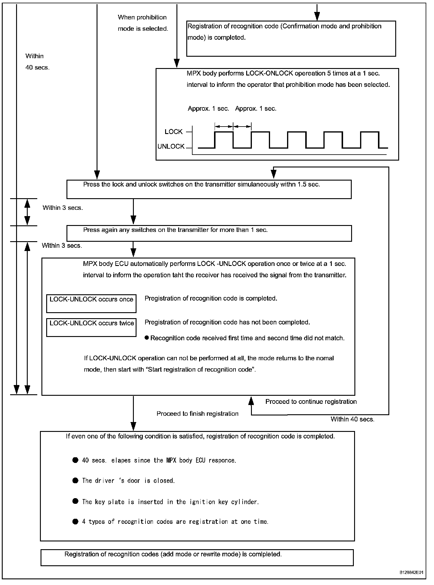
2. Follow the chart to register the transmitter recognition code at the wireless door lock control receiver.

HINT:
- When procedure is out of the specified, the operation returns to normal operation.
- Maximum 4 recognition codes can be registered.