Operation CHARM: Car repair manuals for everyone.
Manuals through 2025 now available!

Our trusted friends have launched a new website named LEMON, which has newer manuals. It also contains all the CHARM manuals.

LEMON is the spiritual successor to CHARM, I recommend you try it!

Link: lemon-manuals.la or lemon-manuals.org.ua

(Some people have issue connecting. LEMON is investigating. For now, use Firefox or change your DNS server)

Or, hide this message: temporarily or permanently

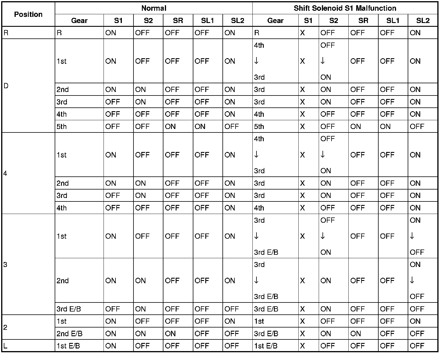
Fail-Safe Chart








A750F AUTOMATIC TRANSMISSION SYSTEM: FAIL-SAFE CHART

FAIL-SAFE CHART

1. FAIL-SAFE CHART
(a) This function minimizes the loss of the ECT functions when a malfunction occurs in each sensor or solenoid.






(b) Fail-safe function:
If either of the shift solenoid valve circuits has an open or short failure, the ECM turns the other shift solenoid ON and OFF in order to shift into the gear positions shown in the table below.
In case of a short circuit, the ECM stops sending current to the short circuit solenoid.
Even if starting the engine again in the fail-safe mode, the gear position remains in the same position.





X: Malfunction





X: Malfunction





X: Malfunction





X: Malfunction
HINT:
- [down]: Condition in the electrical malfunction is shown above "[down]".
- [down]: Condition in the fail-safe mode is shown below "[down]".
- E/B: Engine brake.