Operation CHARM: Car repair manuals for everyone.
Manuals through 2025 now available!

Our trusted friends have launched a new website named LEMON, which has newer manuals. It also contains all the CHARM manuals.

LEMON is the spiritual successor to CHARM, I recommend you try it!

Link: lemon-manuals.la or lemon-manuals.org.ua

(Some people have issue connecting. LEMON is investigating. For now, use Firefox or change your DNS server)

Or, hide this message: temporarily or permanently

Fail-Safe Chart








AB60E AUTOMATIC TRANSMISSION / TRANSAXLE: AUTOMATIC TRANSMISSION SYSTEM: FAIL-SAFE CHART

FAIL-SAFE CHART

1. Fail-safe
This function minimizes the loss of the ECT functions when a malfunction occurs in a sensor or solenoid.
2. Fail-safe control list





HINT: *: In addition to the switching of the shift pattern through the tow/haul pattern select switch, Artificial Intelligence Shift (AI-SHIFT) control enables the ECM to estimate the road conditions and the driver's intention in order to automatically select the optimal shift pattern.

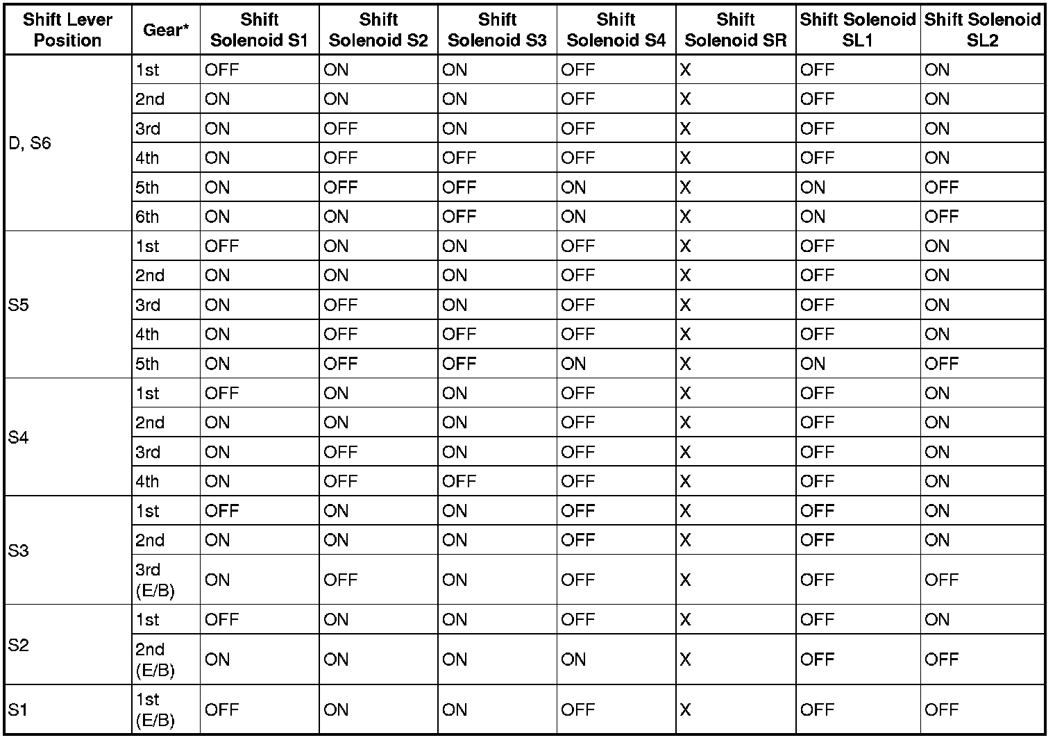
Shift Solenoid Valve Normal Operation Chart





(a) Fail-safe operation for electronically malfunctioning shift solenoid valve (S1, S2, S3, S4 and SR).
(1) Fail-safe function
If any of the shift solenoid valve circuits has an open or short failure, the ECM turns the other shift solenoids "ON" and "OFF" in order to shift into the gear positions shown in the table below. Also, the ECM stops sending current to the open or short circuited solenoid.
Even if starting the engine again in the fail-safe mode, the gear position remains in the same position.

HINT:
- *: Actual gear shift (gear position) under fail-safe operation.
- X: OFF (the ECM stops sending current to the malfunctioning solenoid valve).
- Electrical malfunction: Condition is shown to the left of the "->".
- Fail-safe mode: Condition is shown to the right of the "->".
- E/B: Engine brake

Shift Solenoid Valve S1 Electrical Malfunction (P0973, P0974)





Shift Solenoid Valve S2 Electrical Malfunction (P0976, P0977)





Shift Solenoid Valve S3 Electrical Malfunction (P0979, P0980)





Shift Solenoid Valve S4 Electrical Malfunction (P0982, P0983)





Shift Solenoid Valve SR Electrical Malfunction (P0985, P0986)





(b) Fail-safe operation in the event of a mechanical system malfunction.
(1) Fail-safe function
The ECM controls the gear position as shown in the table below when malfunctions occur.





HINT:
- *1: Actual gear shift (gear position) under fail-safe operation.
- *2: Under engine braking, downshifting to 1st or 2nd gear is prohibited.