Operation CHARM: Car repair manuals for everyone.
Manuals through 2025 now available!

Our trusted friends have launched a new website named LEMON, which has newer manuals. It also contains all the CHARM manuals.

LEMON is the spiritual successor to CHARM, I recommend you try it!

Link: lemon-manuals.la or lemon-manuals.org.ua

(Some people have issue connecting. LEMON is investigating. For now, use Firefox or change your DNS server)

Or, hide this message: temporarily or permanently

Service Data








SERVICE SPECIFICATIONS: 1GR-FE ENGINE MECHANICAL: SERVICE DATA

SERVICE DATA

Compression pressure





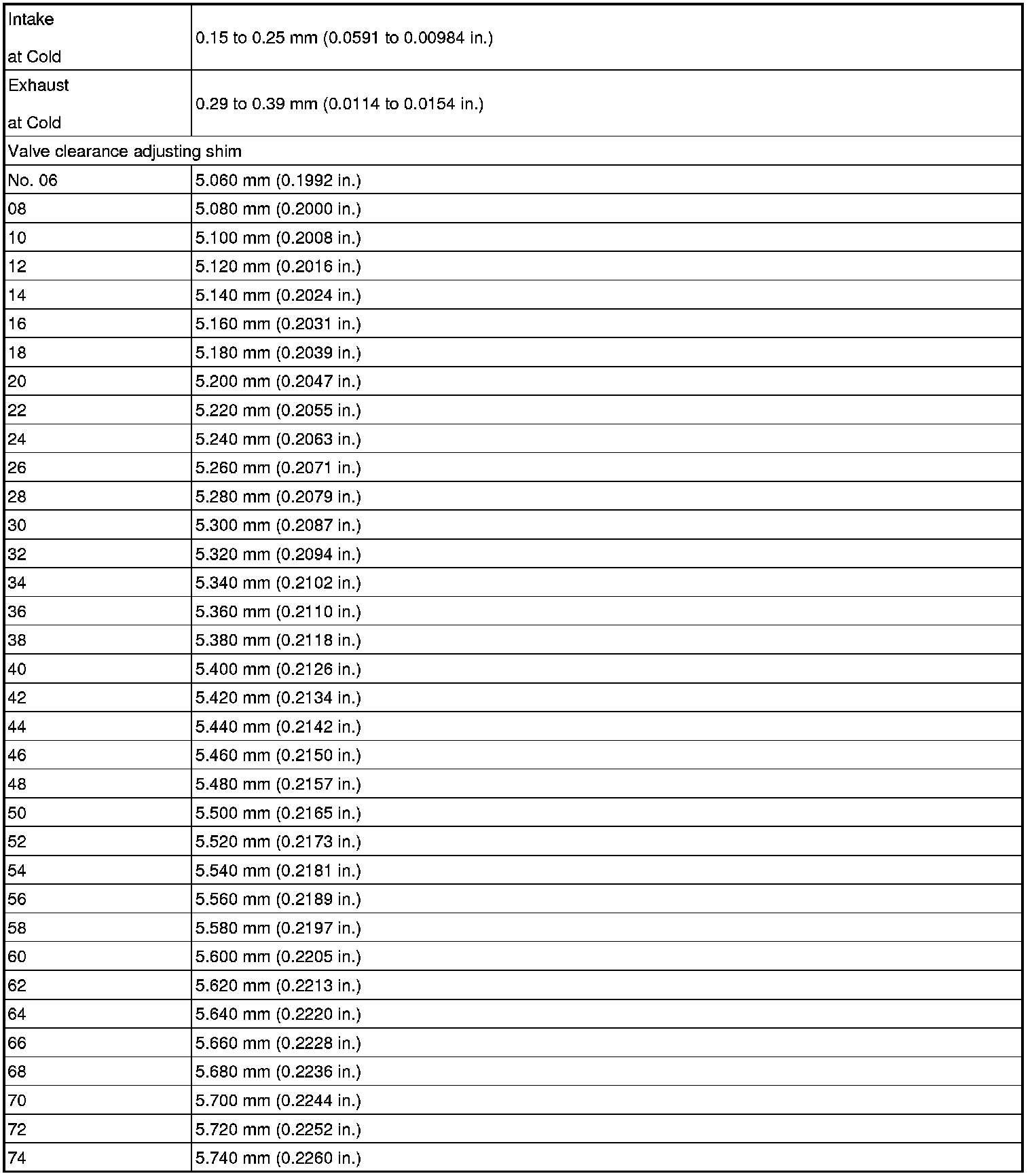
Valve clearance





Ignition timing





Idle speed





Timing chain





Idle gear shaft oil clearance





Chain tensioner





No. 1 and No. 2 chain vibration damper





Cylinder head





Intake manifold





Exhaust manifold





Valve





Valve spring





Valve guide bushing





Valve lifter





Camshaft





Connecting rod





Crankshaft





Cylinder block





Piston and piston ring