Operation CHARM: Car repair manuals for everyone.
Manuals through 2025 now available!

Our trusted friends have launched a new website named LEMON, which has newer manuals. It also contains all the CHARM manuals.

LEMON is the spiritual successor to CHARM, I recommend you try it!

Link: lemon-manuals.la or lemon-manuals.org.ua

(Some people have issue connecting. LEMON is investigating. For now, use Firefox or change your DNS server)

Or, hide this message: temporarily or permanently

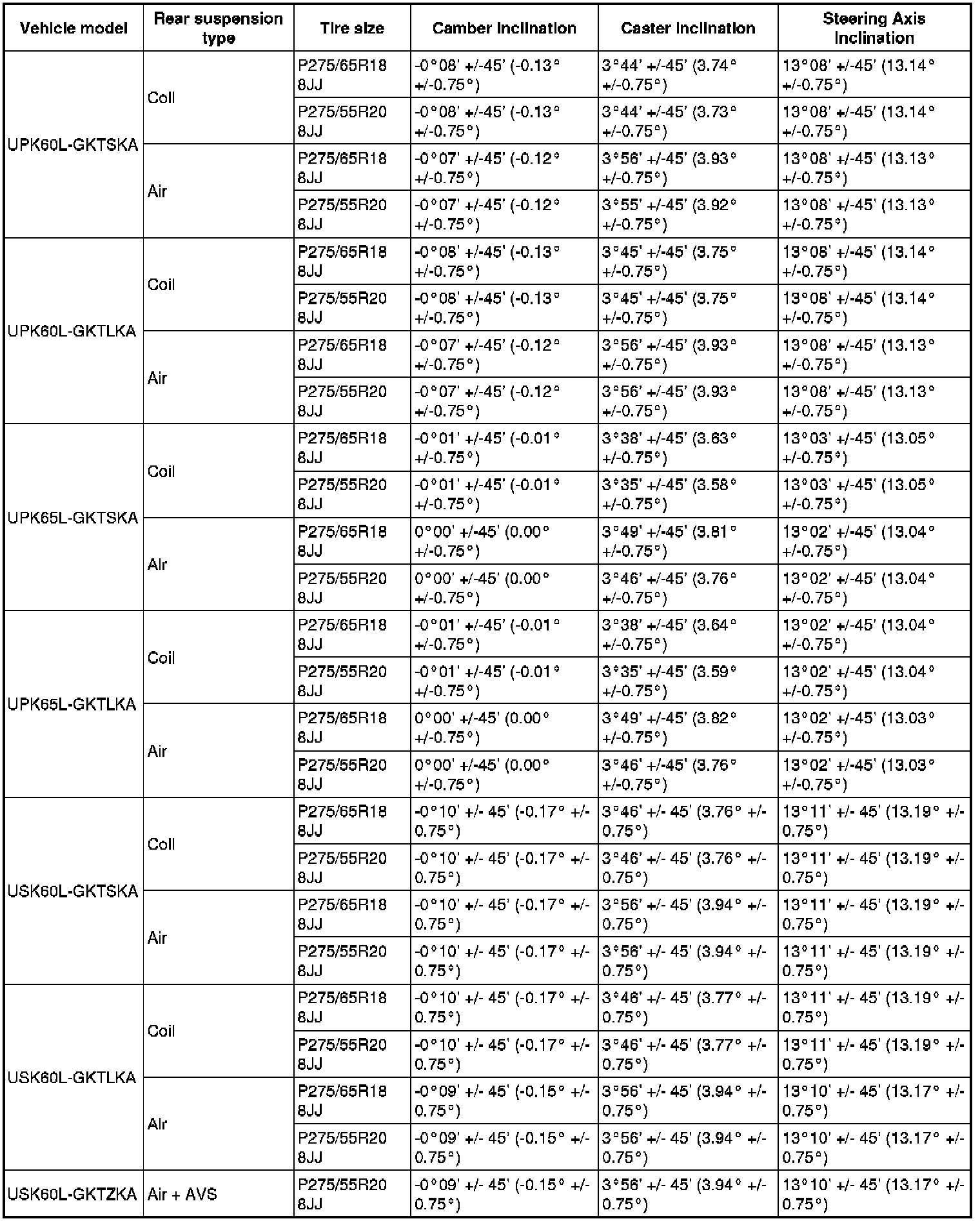
Service Data





SPECIFICATIONS: ALIGNMENT / HANDLING DIAGNOSIS: SERVICE DATA

MEASURE VEHICLE HEIGHT

NOTICE:
Before inspecting the wheel alignment, adjust the vehicle height to the specification.





(a) Press down on the vehicle several times to stabilize the suspension, and then measure the vehicle height.

Standard Vehicle Height (Unloaded Vehicle):





* Measuring points

A:

Ground clearance of the front drive shaft center

B:

Ground clearance of the front adjusting cam bolt center

C:

Ground clearance of the rear drive shaft center

D:

Ground clearance of the rear lower arm No. 1 adjusting cam bolt center

(b) If the vehicle height is not as specified, adjust the height by pressing down on the vehicle several times to stabilize the suspension.