Operation CHARM: Car repair manuals for everyone.
Manuals through 2025 now available!

Our trusted friends have launched a new website named LEMON, which has newer manuals. It also contains all the CHARM manuals.

LEMON is the spiritual successor to CHARM, I recommend you try it!

Link: lemon-manuals.la or lemon-manuals.org.ua

(Some people have issue connecting. LEMON is investigating. For now, use Firefox or change your DNS server)

Or, hide this message: temporarily or permanently

Starting System: Testing and Inspection

Starter turns engine too slowly or engages and will not turn engine

Note: Check that engine is filled with oil of recommended viscosity

CAUTION: Before working on any part of electrical disconnect battery ground strap






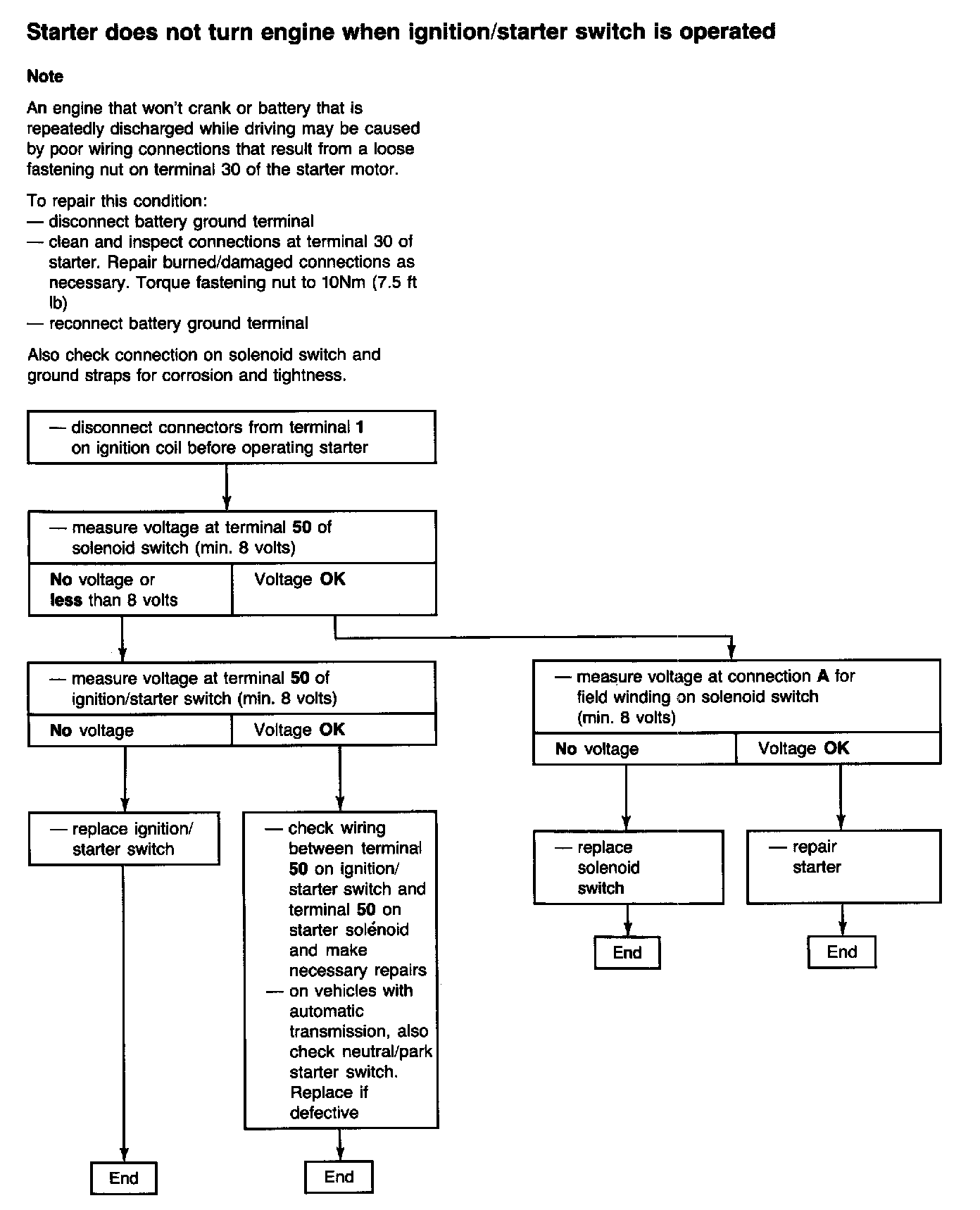
Starter does not turn engine when ignition/starter switch is operated

Note: An engine that won't crank or battery that is repeatedly discharged while driving may be caused by poor wiring connections that result from a loose fastening nut on terminal 30 of the starter motor.

To repair this condition:

- disconnect battery ground terminal
- clean and inspect connections at terminal 30 of starter. Repair burned/damaged connections as necessary. Torque fastening nut to 10 Nm (7.5 ft lb)
- reconnect battery ground terminal

Also check connection on solenoid switch and ground straps for corrosion and tightness.






Voltage at solenoid, measuring






terminal 30 from battery
terminal 16 = to ignition coil
terminal 50 = from ignition/starter switch
connection A for field windings