Operation CHARM: Car repair manuals for everyone.
Manuals through 2025 now available!

Our trusted friends have launched a new website named LEMON, which has newer manuals. It also contains all the CHARM manuals.

LEMON is the spiritual successor to CHARM, I recommend you try it!

Link: lemon-manuals.la or lemon-manuals.org.ua

(Some people have issue connecting. LEMON is investigating. For now, use Firefox or change your DNS server)

Or, hide this message: temporarily or permanently

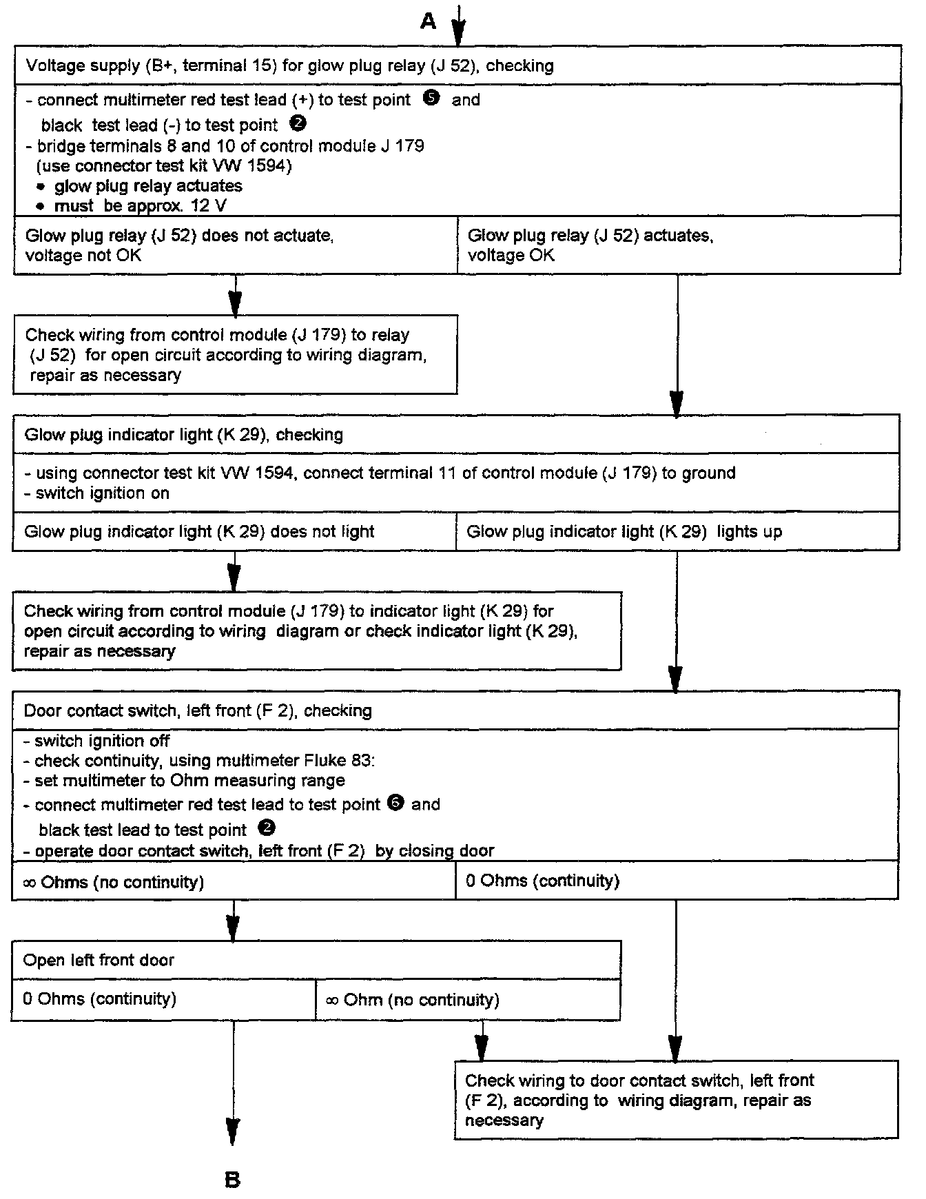
Glow Plug System: Testing and Inspection



Glow Plug System, (1.9L ECO Diesel, Engine Code AAZ), Checking (Canada Only)




































Tools required:
- Multimeter Fluke 83
- Connector test kit VW 1594

Test conditions:
- Glow plug relay OK
- Engine temperature sensor (G 27) Ok
- Fusible link for glow plugs (S 39) Ok
- Generator OK

Troubleshooting preparations:
- Remove automatic glow time control module (J 179), stamped with production number 120, from relay locations 15 and 16
- Numbers in black circles are electrical test points. See wiring diagrams.