Operation CHARM: Car repair manuals for everyone.
Manuals through 2025 now available!

Our trusted friends have launched a new website named LEMON, which has newer manuals. It also contains all the CHARM manuals.

LEMON is the spiritual successor to CHARM, I recommend you try it!

Link: lemon-manuals.la or lemon-manuals.org.ua

(Some people have issue connecting. LEMON is investigating. For now, use Firefox or change your DNS server)

Or, hide this message: temporarily or permanently

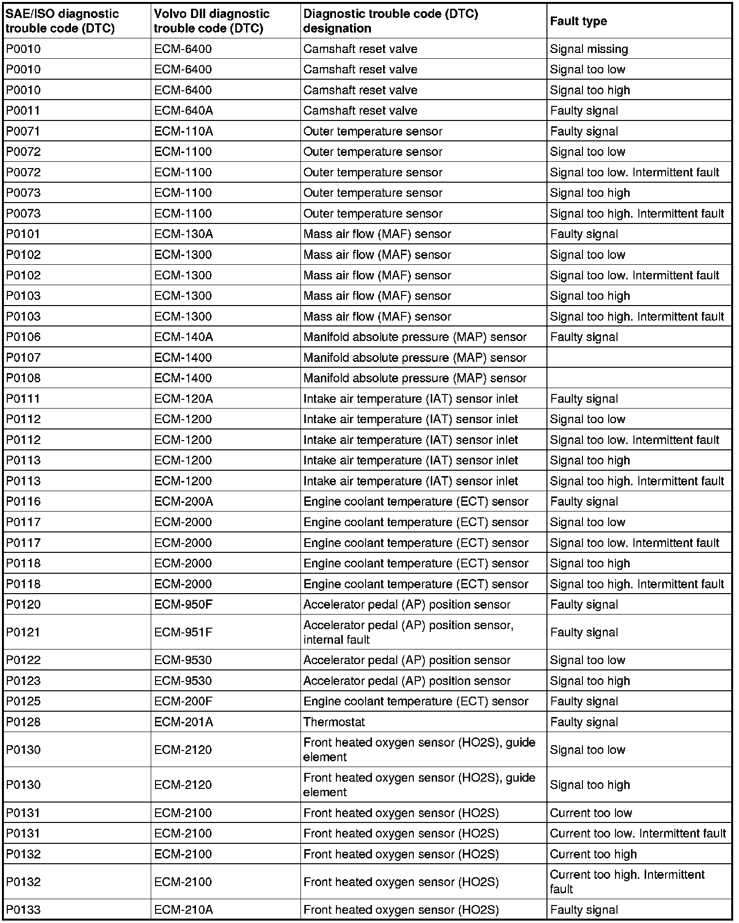
DTC Table (P Codes / ECM Codes)






Conversion table standardized diagnostic trouble codes (DTCs)/Volvo diagnostic trouble codes (DTCs)

Information

Background
OBD II is a diagnostics system designed to meet statutory requirements. A standardized instrument for fault-tracing can be plugged in to the data link connector (DLC) (OBD II socket) to read diagnostic trouble codes (DTCs) and system parameters. OBD II contains only emissions related diagnostic trouble codes (DTCs) and parameters. It cannot provide the comprehensive range of information available from the Volvo On-board diagnostics system.
Volvo has its own diagnostic trouble code (DTC) designations that adhere to the in-house Volvo On-board Diagnostics protocol (called DII from model year 1999).

Table explanations
The table below is a conversion table between standardized diagnostic trouble codes (DTCs) (SAE/ISO) and the equivalent Volvo diagnostic trouble codes (DTCs) (DII).
SAE/ISO diagnostic trouble code (DTC):Standardized diagnostic trouble code (DTC) according to SAE J2012/ISO 15031-6. The diagnostic trouble code (DTC) can be read off on vehicles with standardized on-board diagnostic systems for emissions related faults, certified in accordance with OBD II. Reading off is performed with a generic scan tool, an instrument for fault-tracing standardized in accordance with SAE J1978/ISO 15031-4.
Volvo DII diagnostic trouble code (DTC):Volvo-specific diagnostic trouble code (DTC) in accordance with the Volvo On-Board Diagnostic protocol. Can be read off using VIDA on cars from model year 1999.
Diagnostic trouble code (DTC) designation:Volvo diagnostic trouble code (DTC) designation. Used in VIDA.
Fault type:Volvo method for specifying the actual fault. Used in VIDA.

Note! An SAE/ISO diagnostic trouble code (DTC) can correspond to several DII diagnostic trouble codes (DTCs). All of these must therefore by rectified in order for the corresponding SAE/ISO diagnostic trouble code (DTC) to disappear.Several SAE/ISO diagnostic trouble codes (DTCs) may also refer to the same DII diagnostic trouble code (DTC).There are DII diagnostic trouble codes (DTCs) for non emissions-related faults that do not correspond to any SAE/ISO diagnostic trouble code (DTC).

Table

DTC Table (P Codes / ECM Codes) Part 1:





DTC Table (P Codes / ECM Codes) Part 2:





DTC Table (P Codes / ECM Codes) Part 3:





DTC Table (P Codes / ECM Codes) Part 4:





DTC Table (P Codes / ECM Codes) Part 5:





DTC Table (P Codes / ECM Codes) Part 7:






NOTE: If the diagnostic trouble code is not hyperlinked, then:
- Either the code may not be valid for this vehicle or year.
- Or the information published by the OEM does not include this code for this vehicle or year.