Operation CHARM: Car repair manuals for everyone.
Manuals through 2025 now available!

Our trusted friends have launched a new website named LEMON, which has newer manuals. It also contains all the CHARM manuals.

LEMON is the spiritual successor to CHARM, I recommend you try it!

Link: lemon-manuals.la or lemon-manuals.org.ua

(Some people have issue connecting. LEMON is investigating. For now, use Firefox or change your DNS server)

Or, hide this message: temporarily or permanently

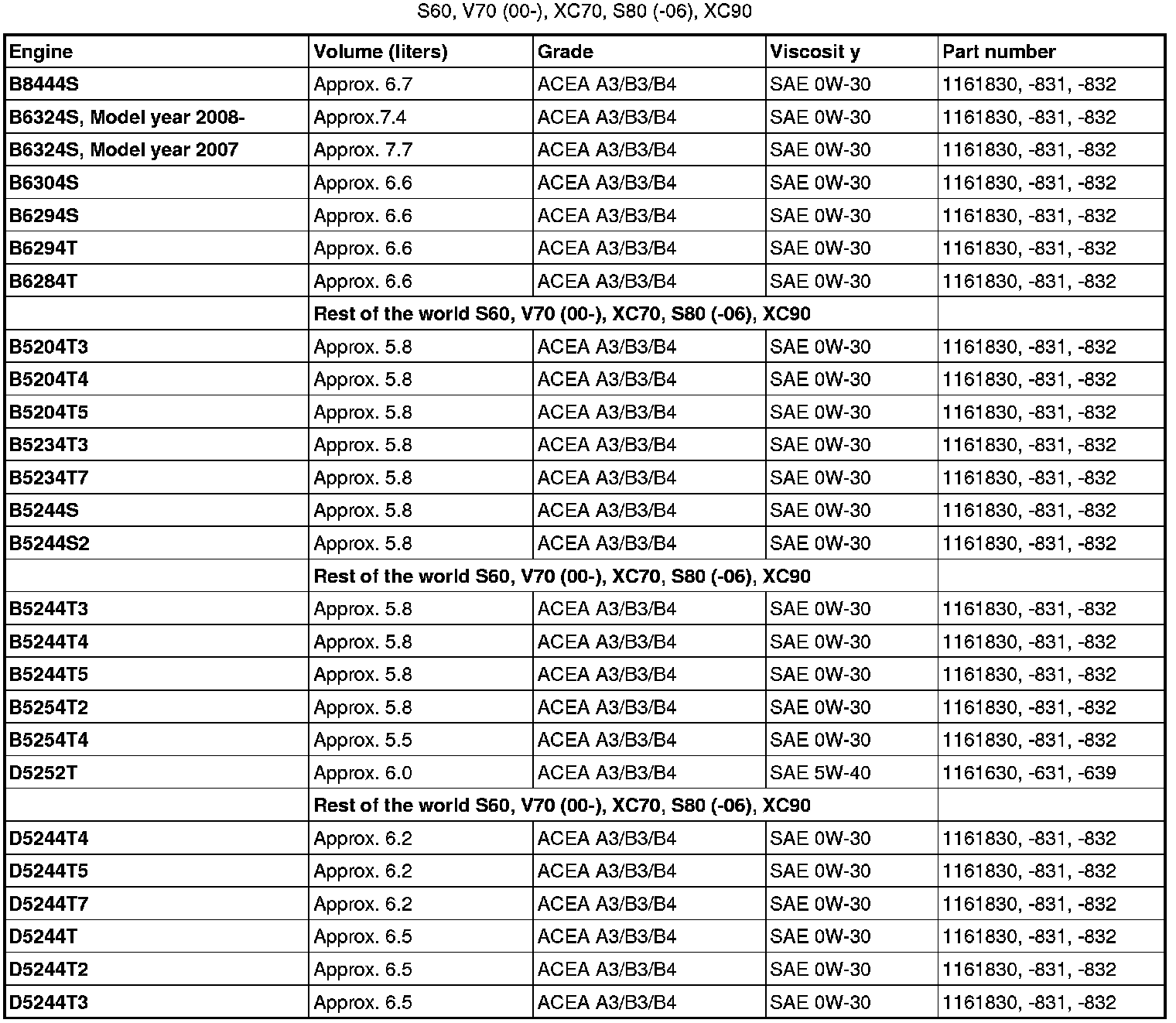
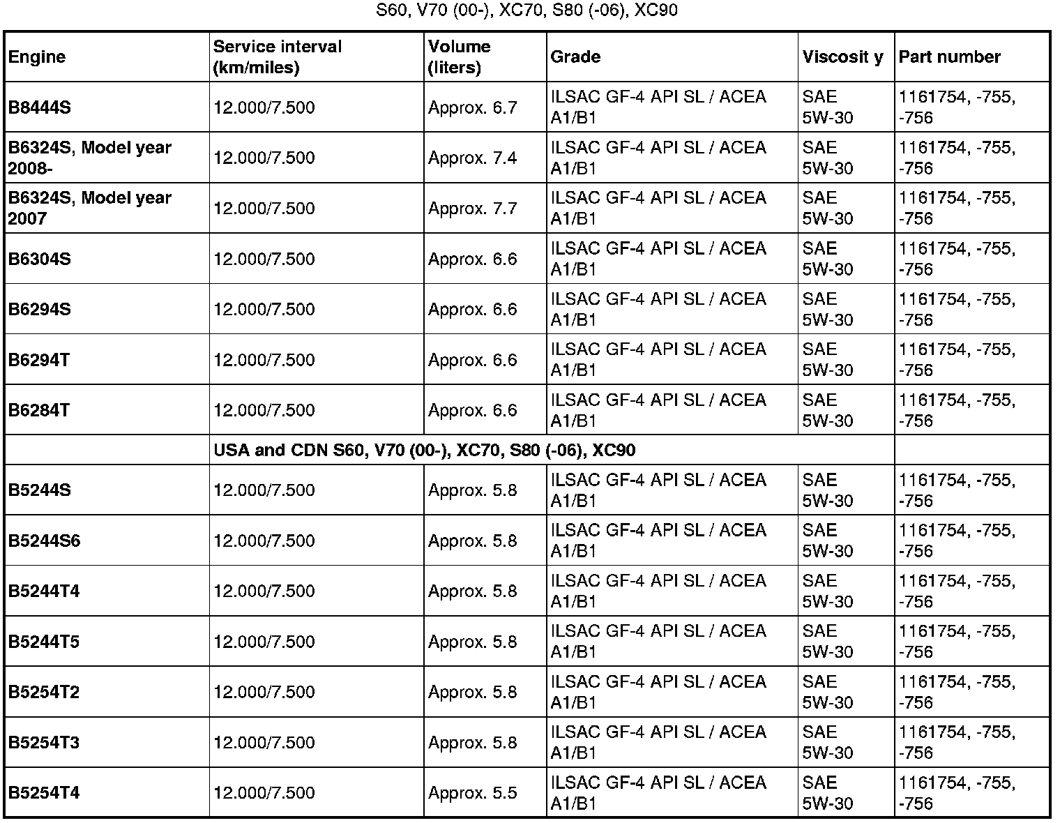
Lubricants, Engine






Lubricants, engine
EU





Oil grade ACEA A3/B3/B4 can not be replaced by any other oil other than the one prescribed in the table for engines D5244T, D5244T2 and D5244T3.










USA and CDN





Oil grade ACEA A1/B1 can be replaced with WSS-M2C913-B or with ACEA A5/B5, not vice versa.





Oil grade ACEA A1/B1 can be replaced with WSS-M2C913-B or with ACEA A5/B5, not vice versa.





Oil grade ACEA A1/B1 can be replaced with WSS-M2C913-B or with ACEA A5/B5, not vice versa.
Rest of the world





Oil grade ACEA A3/B3/B4 can not be replaced by any other oil other than the one prescribed in the table for engines D5244T, D5244T2 and D5244T3.