Operation CHARM: Car repair manuals for everyone.
Manuals through 2025 now available!

Our trusted friends have launched a new website named LEMON, which has newer manuals. It also contains all the CHARM manuals.

LEMON is the spiritual successor to CHARM, I recommend you try it!

Link: lemon-manuals.la or lemon-manuals.org.ua

(Some people have issue connecting. LEMON is investigating. For now, use Firefox or change your DNS server)

Or, hide this message: temporarily or permanently

AW55-50/51SN






System overview

General




AW55-51 (and AW50AWD) is a 5-speed electronically controlled automatic transmission with a lock-up function for the three highest gears. The transmission control module (TCM) adapts the gear changes to ensure that the correct gear is selected for the driving mode, engine load, driver requirements, speed etc. This gives good fuel economy combined with increased comfort by ensuring smoother gear changes and lower noise levels.
The transmission control module (TCM) receives information about the desired gear position and driving mode from the driver. In conjunction with the signals from a number of sensors in the transmission and the engine control system, unlike with a purely hydraulically controlled transmission, this allows the control module to calculate the optimal shifting points and engagement of lock-up. The control module allows for small changes in the operating conditions and adapts the various transmission functions to ensure that the correct gear is always selected in relation to the driving mode selected by the driver.
The transmission control module (TCM) has adaptive capability. This is to ensure smooth shifting throughout the service life of the transmission.
In order to precisely determine the gear shift and lock-up engagement points based on the driving mode selected, the control module receives information about the following:
- Selected gear position - from the gear-shift position sensor
- Selected driving mode economy/sport - reactive function programmed in the control module which is controlled by the speed at which the accelerator pedal (AP) is depressed. Quick "pedal movement" = sport mode. Winter (W) mode is activated using a switch on the gear selector assembly
- Transmission input shaft rpm - from the transmission speed sensor
- The transmission output shaft rpm - from the transmission output speed sensor
- Transmission fluid temperature - from the temperature sensor in the transmission
- The engine speed (RPM) and torque as well as throttle opening - from the engine control module (ECM) via the controller area network (CAN)
- If the accelerator pedal (AP) is depressed and to what extent - from the engine control module (ECM) via the controller area network (CAN)
- The engine coolant temperature - from the engine control module (ECM) via the controller area network (CAN)
- Vehicle speed - from the brake control module (BCM) via the controller area network (CAN)
- If the brake pedal is depressed and to what extent - from the brake control module (BCM) via the controller area network (CAN).

Components




The following components are included in the control system for automatic transmissions:
- Transmission control module (TCM) - Controls activation and deactivation of the solenoids by processing the signals from components such as the transmission input and output speed sensors and the temperature sensor. Also stores adaptive data as well as diagnostic trouble codes (DTCs) and frozen values for diagnostics
- Shift solenoid, S1 - Controls shifting in the transmission.
- Shift solenoid, S2 - Controls shifting in the transmission.
- Shift solenoid, S3 - Controls shifting in the transmission.
- Shift solenoid, S4 - Controls shifting in the transmission.
- Shift solenoid, S5 - Controls shifting in the transmission.
- Lock-up solenoid, SLU - Controls the lock-up function and is also used for certain shifts.
- Line pressure solenoid, SLT - Controls the line pressure in the transmission.
- Line pressure solenoid, SLS - Controls the transmission shifting pressure and is also used for certain shifts.
- Transmission input speed sensor (input shaft speed) (1) - Provides the transmission control module (TCM) with information about the input shaft speed from the engine
- Speed sensor (output shaft speed) (2) - Provides the transmission control module (TCM) with information about the output shaft speed from the transmission
- Oil temperature sensor (3) - Provides the transmission control module (TCM) with information about the oil temperature of the transmission
- Gear-shift position sensor, built-in to the transmission control module (TCM) (4) - Provides the transmission control module (TCM) with information about the selected gear
- Gear selector module (GSM) - Provides the transmission control module (TCM) with information about the Geartronic mode and winter mode (W).

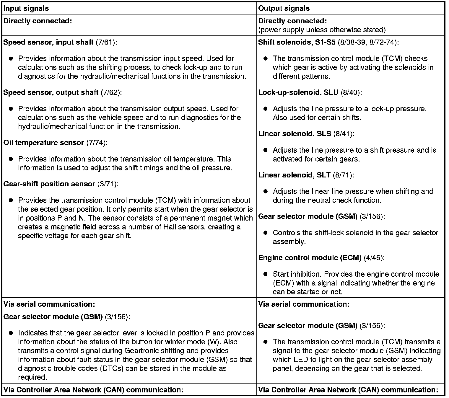
Signals
The table below summarizes the input signals to and output signals from the transmission control module (TCM). The signal types are divided into directly connected signals, serial communication and controller area network (CAN) communication. The illustration below displays the same information with the Volvo component designations.