Operation CHARM: Car repair manuals for everyone.
Manuals through 2025 now available!

Our trusted friends have launched a new website named LEMON, which has newer manuals. It also contains all the CHARM manuals.

LEMON is the spiritual successor to CHARM, I recommend you try it!

Link: lemon-manuals.la or lemon-manuals.org.ua

(Some people have issue connecting. LEMON is investigating. For now, use Firefox or change your DNS server)

Or, hide this message: temporarily or permanently

System Overview






System overview

General




TF-80SC (TF-80SC AWD) is 6-speed electronically controlled automatic transmission with lock-up function on the five highest gears. The transmission control module (TCM) adapts shifting so that the correct gear is always selected with respect to driving style, engine load, driver requirements, speed etc. This provides good fuel economy and increased comfort through gentler shifting and lower noise level.
The transmission control module (TCM) receives information on required gear position and required driving style (driving program) from the driver. Together with signals from a number of sensors in the transmission and the engine management system, this enables the calculation of optimum gearshift timing and lock-up engagement, in contrast to a gearbox with only a hydraulic control system. The control module takes consideration of small changes in operating conditions and adapts the different transmission functions so that the correct gear is always selected in accordance with the driving program selected by the driver.
The transmission control module (TCM) has an adaptive capacity intended to ensure even gearshift quality during the whole service life of the transmission.
In order to be able to determine gearshift timing and lock-up engagement precisely, based on the selected driving program, the control module receives information on the following:
- Selected gear position - from the gear position sensor.
- Speed of transmission input shaft - from transmission speed sensor, input shaft.
- Speed of transmission output shaft - from transmission speed sensor, output shaft.
- Transmission oil temperature - from temperature sensor in the transmission.
- Engine speed and torque, and throttle opening - from engine control module (ECM) via the CAN network.
- Whether and how much the accelerator pedal is depressed - from engine control module (ECM) via the CAN network.
- Engine temperature - from engine control module (ECM) via the CAN network.
- Vehicle speed - from brake control module (BCM) via the CAN network.
- Whether and how much the brake pedal is depressed - from Brake Control Module (BCM) via the CAN network.
- Vehicle's lateral acceleration - from brake control module (BCM) via the CAN network.

Components





The following components are included in the automatic transmission control system:
- Transmission control module (TCM) - Controls activation/deactivation of the solenoids by means of processing the input signals from the transmission speed, rpm and temperature sensors. Also stores adaptive data and diagnostic trouble codes and frozen values for diagnostics.
- Gear position sensor, integrated with transmission control module (TCM) - Provides transmission control module (TCM) information on selected gear position.
- Solenoid, S1 - OFF/ON solenoid, used for certain shifting.
- Solenoid, S2 - OFF/ON solenoid, used for certain shifting as well as controls the engine brake in 1st gear.
- Lock-up solenoid, SLU - Controls the lock-up function and also used with certain gearshifts.
- Linear pressure solenoid, SLT - Controls transmission system pressure.
- Linear pressure solenoid, SLC1 - Controls transmission gearshift pressure and also used with certain gearshifts.
- Linear pressure solenoid, SLC2 - Controls transmission shift pressure. Also used with certain shifts.
- Linear pressure solenoid, SLC3 - Controls transmission shift pressure. Also used with certain shifts.
- Linear pressure solenoid, SLB1 - Controls transmission gearshift pressure and also used with certain gearshifts.
- Speed sensor, input shaft (1) - Provides transmission control module (TCM) information on input shaft speed from the engine.
- Speed sensor, output shaft (2) - Provides transmission control module (TCM) information on output shaft speed from the transmission.
- Oil temperature sensor (3) - Provides transmission control module (TCM) information on transmission oil temperature.
- Gear selector module (GSM) - Provides transmission control module (TCM)information such as Geartronic mode.

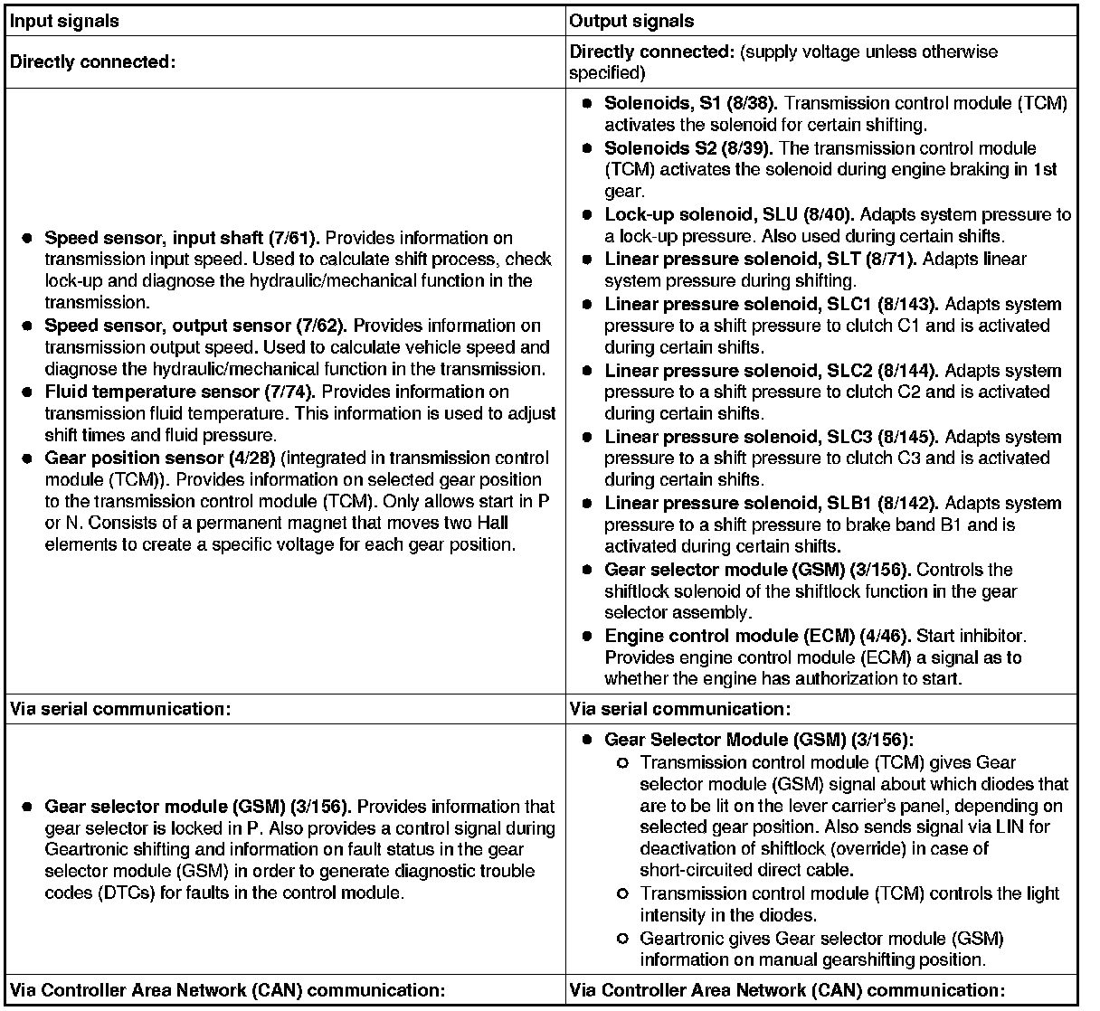
Signals
The table below summarizes the input and output signals to and from the transmission control module (TCM). The signal types are divided into directly connected signals, serial communication and CAN communication. The illustration below displays the same information with Volvo component designations.