Operation CHARM: Car repair manuals for everyone.
Manuals through 2025 now available!

Our trusted friends have launched a new website named LEMON, which has newer manuals. It also contains all the CHARM manuals.

LEMON is the spiritual successor to CHARM, I recommend you try it!

Link: lemon-manuals.la or lemon-manuals.org.ua

(Some people have issue connecting. LEMON is investigating. For now, use Firefox or change your DNS server)

Or, hide this message: temporarily or permanently

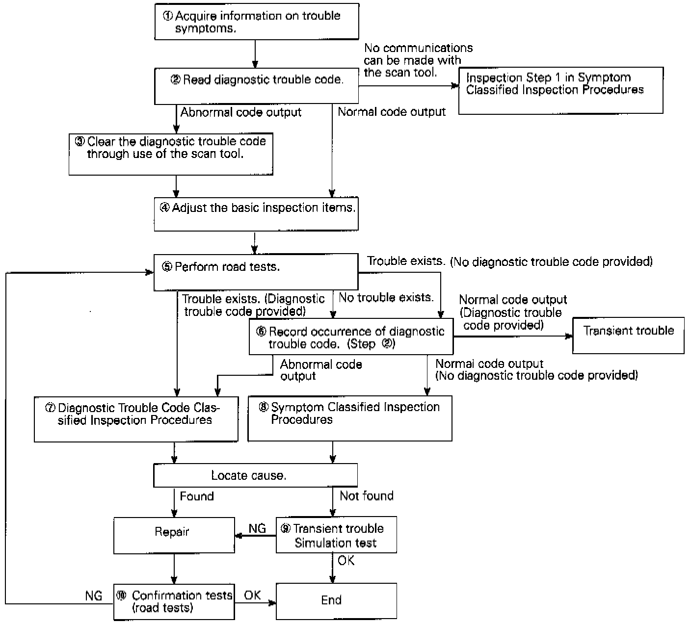
Flow of Diagnosis







Basic Flow Of Troubleshooting

The probable causes of troubles in the ELC-4 automatic transaxle are problems, misadjustment, etc. in the electronic control system, oil pressure control system and the automatic transaxle proper which are closely related to one another.

For efficient troubleshooting of all of them, proceed as described below.

Footnotes:

[1] Get a clear picture of the trouble symptoms from the customer's complaints, including the conditions under which they occur, the frequency of occurrence, etc.

[2] Using the scan tool, read and record the diagnostic trouble code (including the fail safe code).

[3] To allow road tests to be performed, clear the diagnostic trouble code.

[4] Adjust the basic inspection items (ATF TPS, Park/Neutral position switch, manual control cable, etc.).

[5] Perform road tests. Since the tests cover checks on the basic inspection items and all diagnostic trouble code and reproducing conditions, make sure that the road tests are performed.

[6] Check to see whether there is a diagnostic trouble code read (recorded in 02) before the road tests.

[7] Find a probable cause of trouble from the Diagnostic Trouble Code Classified Inspection Procedures.


[8] Find a probable cause of trouble from the Symptom Classified Inspection Procedures.

[9] Perform transient simulation tests. (Refer to General, How to Read This Manual.)

[10] After repairs have been made, perform road tests to verify that the trouble has been corrected.