Operation CHARM: Car repair manuals for everyone.
Manuals through 2025 now available!

Our trusted friends have launched a new website named LEMON, which has newer manuals. It also contains all the CHARM manuals.

LEMON is the spiritual successor to CHARM, I recommend you try it!

Link: lemon-manuals.la or lemon-manuals.org.ua

(Some people have issue connecting. LEMON is investigating. For now, use Firefox or change your DNS server)

Or, hide this message: temporarily or permanently

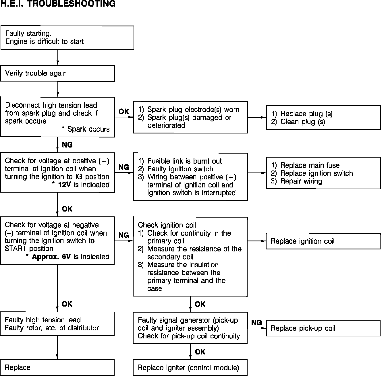
Ignition System: Testing and Inspection


Testing For Spark

CAUTION: Do not crank engine, if there is spark, for a prolonged period of time. Damage to HEI. electrical components may occur.


1. Disconnect the coil wire from the distributor.
2. Hold it with insulated pliers approximately 5-10 mm (1/4-7/16 in) from ground.
3. Crank engine and check that a strong blue spark is visible.
4. If there is no spark, check the ignition coil circuit, pick-up coil circuit, and high tension lead.
5. If there is spark, reconnect the coil wire to the distributor and remove the No. 1 spark plug wire lead.
6. Crank engine and again check that a strong blue spark is visible.
7. If there is no spark, check the distributor cap, rotor, and high tension leads.

Troubleshooting Chart

Fig. 18 Troubleshooting table, High Energy Ignition: