Operation CHARM: Car repair manuals for everyone.
Manuals through 2025 now available!

Our trusted friends have launched a new website named LEMON, which has newer manuals. It also contains all the CHARM manuals.

LEMON is the spiritual successor to CHARM, I recommend you try it!

Link: lemon-manuals.la or lemon-manuals.org.ua

(Some people have issue connecting. LEMON is investigating. For now, use Firefox or change your DNS server)

Or, hide this message: temporarily or permanently

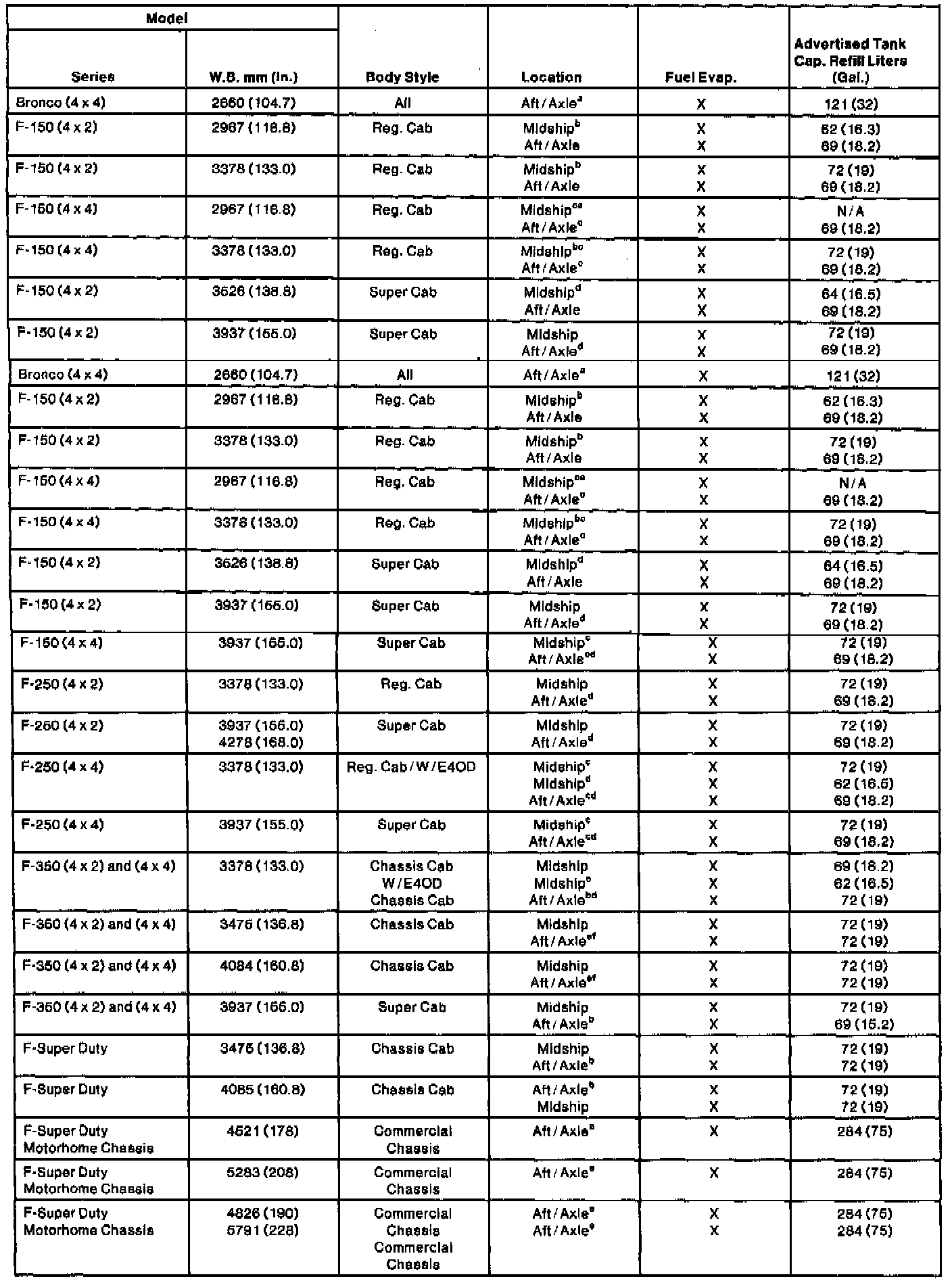
Fuel Tank







[a]: 15 liter (4 gal) throwaway standard on commercial cutaway, and commercial chassis.

[b]: Steel auxiliary tank.

[c]: Optional Skid Plate avail. on 4x4 models.

[d]: Standard dual tanks.

[d]: Standard skid plate on 4x4 models.

[d]: Plastic auxiliary tank.

NOTE: All F-Series aft-of-axle fuel tanks are standard. Midship 133 in. and 116.8 in. (2967mm and 3378mm) wheelbase tanks are optional.