Operation CHARM: Car repair manuals for everyone.
Manuals through 2025 now available!

Our trusted friends have launched a new website named LEMON, which has newer manuals. It also contains all the CHARM manuals.

LEMON is the spiritual successor to CHARM, I recommend you try it!

Link: lemon-manuals.la or lemon-manuals.org.ua

(Some people have issue connecting. LEMON is investigating. For now, use Firefox or change your DNS server)

Or, hide this message: temporarily or permanently

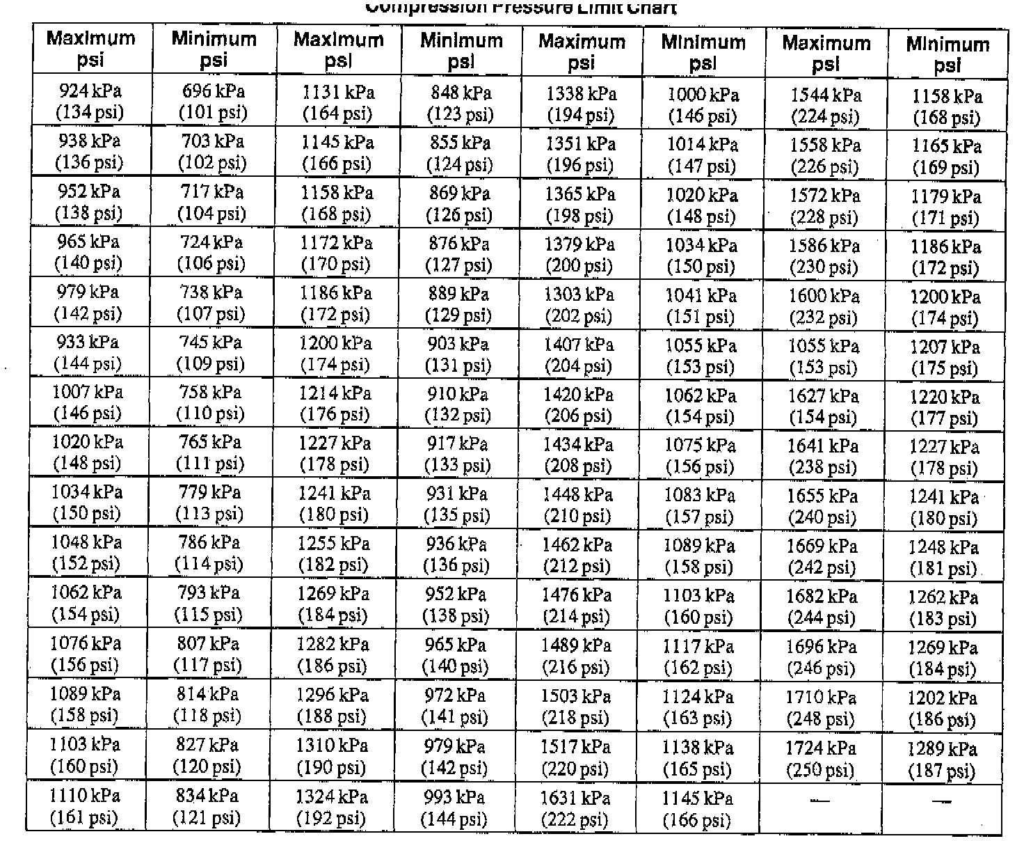
Interpreting Compression Readings

AllData Editors Note - Ford does not provide a cranking pressure specification, only an acceptable range.

TEST RESULTS






The indicated compression pressures are considered within specification if the lowest reading cylinder is within 75 percent of the highest reading. Refer to the Compression Pressure Limit Chart.

If one or more cylinders reads low, squirt approximately one tablespoon of clean engine oil meeting Ford specification ESE-M2C153-E on top of the pistons in the low-reading cylinders. Repeat the compression pressure check on these cylinders.

INTERPRETING COMPRESSION READINGS
1. If compression improves considerably, piston rings are faulty.
2. If compression does not improve, valves are sticking or seating improperly.
3. If two adjacent cylinders indicate low compression pressures and squirting oil on each piston does not increase compression, the head gasket may be leaking between cylinders. Engine oil or coolant in cylinders could result from this condition.

Use the Compression Pressure Limit Chart when checking cylinder compression so that the lowest reading is within 75 percent of the highest reading.