Operation CHARM: Car repair manuals for everyone.
Manuals through 2025 now available!

Our trusted friends have launched a new website named LEMON, which has newer manuals. It also contains all the CHARM manuals.

LEMON is the spiritual successor to CHARM, I recommend you try it!

Link: lemon-manuals.la or lemon-manuals.org.ua

(Some people have issue connecting. LEMON is investigating. For now, use Firefox or change your DNS server)

Or, hide this message: temporarily or permanently

B: The Doors Do Not Lock/Unlock Using the Remote Transmitter

B1 - B2:






B3 - B4:






B5 - B6:






B7 - B8:






B9 - B10:






B11 - B12:






B13 - B14:






B15 - B16:






B17 - B18:






B19 - B21:






B22 - B23:






B24 - B25:






B26 - B27:






B28 - B30:






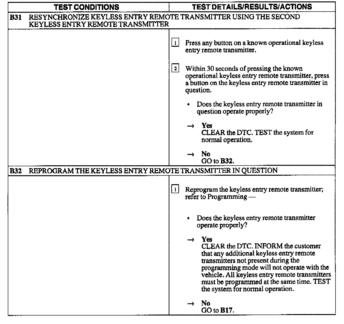
B31 - B32: