Operation CHARM: Car repair manuals for everyone.
Manuals through 2025 now available!

Our trusted friends have launched a new website named LEMON, which has newer manuals. It also contains all the CHARM manuals.

LEMON is the spiritual successor to CHARM, I recommend you try it!

Link: lemon-manuals.la or lemon-manuals.org.ua

(Some people have issue connecting. LEMON is investigating. For now, use Firefox or change your DNS server)

Or, hide this message: temporarily or permanently

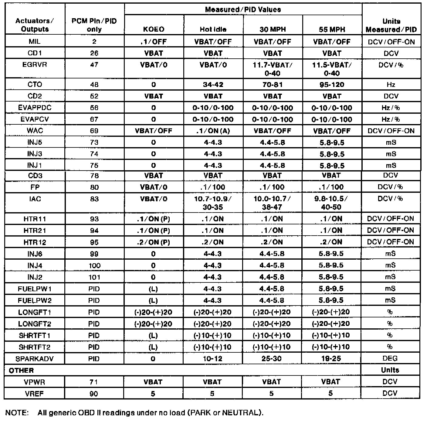
With Manual Transmission











Typical Diagnostic Reference Values







GENERIC OBD II PID VALUES


Notes:
- The footnotes are referenced throughout the Typical Diagnostic Reference Value Charts. A letter in parentheses next to a value indicates supplemental information is applicable.
- An attempt is made to provide as much information as possible; some vehicles may not display all input and output signals.
- The Typical Diagnostic Reference Value Charts do not display fault PIDs. These are PIDs which indicate a hard fault with the circuit. They display a value of "YES" or "NO" and are PIDs ending with an "F".
- Reference values may vary +/-20% depending on operating conditions and other factors. RPM values are axle and tire dependent.
- For downstream O2S (12, 22) greater activity will result when catalyst monitor is active.
- Refer to Parameter Identification Access, for PID descriptions.

gs-green state

fs-federal state

A. A/Con.
B. Cooling fan on (single, low or high speed).
C. O2S(s) should switch from rich to lean at least once every 3 seconds. O2S voltage should toggle above and below 0.450 DCV and never be a negative value. Valid O2S switching only occurs during closed loop fuel control.
D. Downstream O2S(s) will stay close to a constant voltage when the catalyst monitor is off (positive value only). When the catalyst monitor is on, O2S will switch rich to lean above and below 0.450 DCV and never be a negative value.
E. Brake pedal applied.
F. Catalyst monitor off.
G. While pressing Transmission Control Switch (TCS) or switching to manual drive mode.
H. Values shown are commanded by the PCM and may not be actual.
I. Steering wheel turned.
J. Clutch pedal applied.
K. Value is dependent upon ambient air temperature and may fall outside of range.
L. Value is not useful under this condition.
M. If equipped.
N. Transmission in selected range.
O. Values recorded using 100% unleaded gasoline.
P. May change state under this condition.
Q. While pressing switch.
R. Frequency cycles high within a few seconds of turning headlamps on. Frequency cycles back to 0 Hz shortly after cycling high.
S. Generator under full load.