Operation CHARM: Car repair manuals for everyone.
Manuals through 2025 now available!

Our trusted friends have launched a new website named LEMON, which has newer manuals. It also contains all the CHARM manuals.

LEMON is the spiritual successor to CHARM, I recommend you try it!

Link: lemon-manuals.la or lemon-manuals.org.ua

(Some people have issue connecting. LEMON is investigating. For now, use Firefox or change your DNS server)

Or, hide this message: temporarily or permanently

PCM - MIL ON, DTC's P0350/P0360 Set

Article No.
01-1-6

01/22/01

^ DIAGNOSTIC TROUBLE CODES (DTCS) -
P0350-P0360 COIL DTCS STORED IN MEMORY -
ROUGH IDLE - MALFUNCTION INDICATOR LAMP
(MIL) ILLUMINATED - COIL ON PLUG
APPLICATIONS ONLY

^ MALFUNCTION INDICATOR LAMP (MIL)
ILLUMINATED - ROUGH IDLE - DIAGNOSTIC
TROUBLE CODES (DTCS) P0350-P0360 COIL DTCS
STORED IN MEMORY - COIL ON PLUG APPLICATIONS ONLY

^ ROUGH IDLE - MALFUNCTION INDICATOR LAMP
(MIL) ILLUMINATED - DIAGNOSTIC TROUBLE
CODES (DTCS) P0350-P0360 COIL DTCS STORED
IN MEMORY

^ LAMP - MALFUNCTION INDICATOR LAMP (MIL)
ILLUMINATED - ROUGH IDLE - DIAGNOSTIC
TROUBLE CODES (DTCS) P0350-P0360 COIL DTCS
STORED IN MEMORY - COIL ON PLUG
APPLICATIONS ONLY

FORD:
2000 CROWN VICTORIA, ECONOLINE, EXCURSION,
EXPEDITION, F SUPER DUTY, F-150

LINCOLN:
2000 LS, TOWN CAR, NAVIGATOR

MERCURY:
2000 GRAND MARQUIS

ISSUE
Some 2000 Coil-On-Plug applications may produce P0350 through P0360 coil Diagnostic Trouble Codes (DTCS), a check engine light, and rough idle.
This may be caused by the Powertrain Control Module (PCM) calibration.

















ACTION
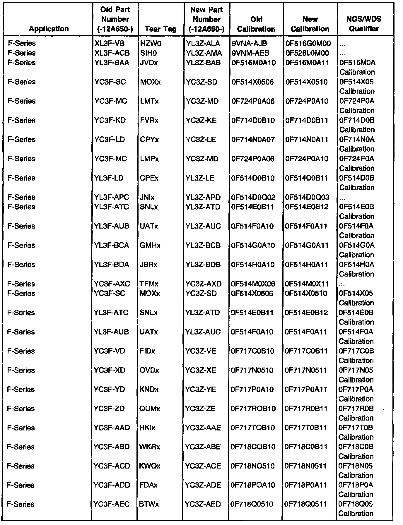
Perform normal diagnostics. If normal diagnostics cannot pinpoint the condition and no other concerns are found, reprogram the PCM using the Worldwide Diagnostic System (WDS) or New Generation Star (NGS) Tester. Refer to the PCM Calibration Information Chart as shown.





Obtain an Authorized Modifications Decal (FPS 8262 - obtainable through DOES II, 25/pkg) and list the date, dealer number, and summary of modifications performed. Select a prominent place adjacent to the Vehicle Emission Control Information Decal suitable for installing the Authorized Modifications Decal. Clean the area, install the decal, and cover it with a clear plastic decal shield.

OTHER APPLICABLE ARTICLES: NONE
WARRANTY STATUS: Eligible Under The Provisions Of Bumper To Bumper Warranty Coverage And Emissions Warranty Coverage





DEALER CODING

OASIS CODES: 206000, 608000, 608400, 609000, 609400, 698298