Operation CHARM: Car repair manuals for everyone.
Manuals through 2025 now available!

Our trusted friends have launched a new website named LEMON, which has newer manuals. It also contains all the CHARM manuals.

LEMON is the spiritual successor to CHARM, I recommend you try it!

Link: lemon-manuals.la or lemon-manuals.org.ua

(Some people have issue connecting. LEMON is investigating. For now, use Firefox or change your DNS server)

Or, hide this message: temporarily or permanently

Engine Controls - Spark Knock on Acceleration

Article No.
02-24-3

12/09/02

^ DRIVEABILITY - SPARK KNOCK ON
ACCELERATION - 3.0L 2V/FFV ENGINE ONLY

^ TRANSAXLE - AX4N/AX4S - HARSH TRANSMISSION
ENGAGEMENT - 3.0L 2V/FFV ENGINE ONLY

FORD:
2000-2001 TAURUS
1999-2000 WINDSTAR

MERCURY:
2000-2001 SABLE

Article 00-25-5 is being republished in its entirety to update the Service Procedure.

ISSUE

Some vehicles equipped with the 3.0L 2V or 3.0L FFV engine may exhibit spark knock during light accelerator tip in or heavy acceleration. 2001 2V and FFV Taurus/Sable vehicles may also exhibit a harsh Park to Drive engagement. This may be caused by the calibration of the Powertrain Control Module (PCM).

ACTION

Verify condition. Check for potential lean contributors, reprogram the Powertrain Control Module (PCM), and/or perform Octane Adjust. Refer to the following Service Procedure for details.

SERVICE PROCEDURE

Windstar vehicles: DO NOT perform PCM reprogram. Check for potential lean contributors and/or perform Octane Adjust only. Refer to the following Octane Adjust Procedure for details. If the spark knock condition, (2000/2001 Taurus/Sable), or transmission harsh engagement, (2001 Taurus/Sable) is still present after performing normal diagnostics, check for potential lean contributors and reprogram the PCM.

On a very small percentage of Taurus/Sable vehicles, it is still possible spark knock may be present after PCM reprogramming. If spark knock can be verified after PCM reprogramming, proceed with the following Octane Adjust Procedure.

Octane Adjust Procedure

Use the New Generation Star (NGS) Tester to perform an Engine Octane Adjustment using the following procedure:

1. Using NGS Service Card (11.0 level or higher) and Flash Cable, select "Service Bay Functions".

2. Select "PCM (Powertrain Control Module)".

3. Select "Module Configuration".

4. Select EEC V or PTEC Vehicle - by TSB.

5. Press trigger to continue on emission compliance authorization screens.

6. Highlight the Octane Adjust column and press trigger, then rotate the dial to change the ignition timing from "No Retard" to "Retard". Press trigger again.

7. Highlight Fuel Octane and press trigger, then rotate the dial to set the octane to 87 Octane and press trigger again.

8. Press the Start button. You should receive a message saying that the change has been successful.

NOTE
FAILURE TO PRESS THE START BUTTON WILL RESULT IN CHANGES IN OCTANE ADJUSTMENT NOT BEING ACCEPTED.

9. Exit out of Service Bay Functions.





Obtain an Authorized Modifications Decal (FPS 8262 - obtainable through DOES II, 25/pkg) and list the date, dealer number, and summary of modifications performed. Select a prominent place adjacent to the Vehicle Emission Control Information Decal suitable for installing the Authorized Modifications Decal. Clean the area, install the decal and cover it with a clear plastic decal shield.





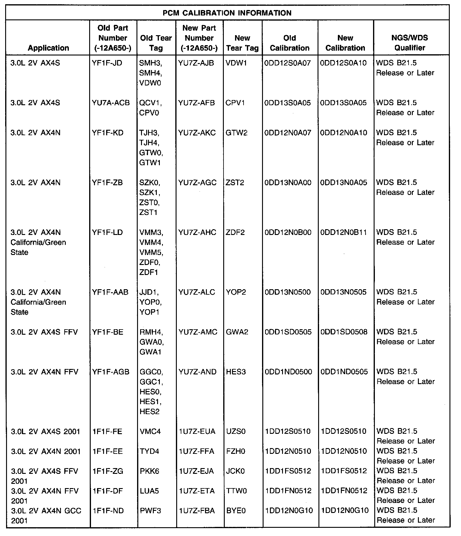
PCM Calibration Information

SUPERSEDES: 00-25-5

WARRANTY STATUS: Eligible Under The Provisions Of Bumper To Bumper Warranty Coverage And Emissions Warranty.

OPERATION DESCRIPTION TIME

022403A Check For Lean 0.7 Hr.
Contributors And
Reprogram Powertrain
Control Module 2000
-2001 Taurus/Sable

022403B Check For Lean 0.8 Hr.
Contributors And
Reprogram Powertrain
Control Module Then
Perform Octane Adjust
Procedure 2000-2001
Taurus/Sable

022403C Perform Octane 0.6 Hr.
Adjust Procedure Only
1999-2000 Windstar

DEALER CODING
CONDITION
BASIC PART NO. CODE
12A650 42

OASIS CODES: 497000, 503000, 504000, 615000, 615500, 615600





DISCLAIMER