Operation CHARM: Car repair manuals for everyone.
Manuals through 2025 now available!

Our trusted friends have launched a new website named LEMON, which has newer manuals. It also contains all the CHARM manuals.

LEMON is the spiritual successor to CHARM, I recommend you try it!

Link: lemon-manuals.la or lemon-manuals.org.ua

(Some people have issue connecting. LEMON is investigating. For now, use Firefox or change your DNS server)

Or, hide this message: temporarily or permanently

System Specifications

Automatic Transmission/Transaxle





Lubricants, Fluids, Sealers and Adhesives





Capacities





Direct Clutch Hub Shim Selection Chart





Transfer Shaft Shim Selection Chart





Differential Shaft Shim Selection Chart





Solenoid Operation Chart- Converter Engaged








Solenoid Operation Chart- Converter Disengaged








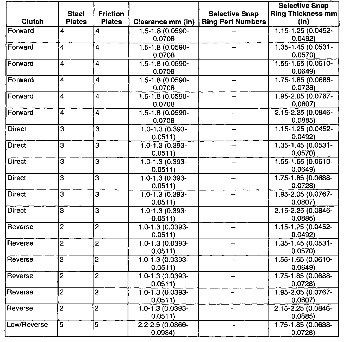
Clutch Plate Usage and Clearance Specification Chart





Intermediate/Overdrive Band Bolt Chart





Reference Band/Clutch Application Chart





Line Pressure Chart








Stall Speed Chart





Torque Specifications

Flex Plate Torque 82 Nm

Transmission/Transaxle Cooling






Lubricants, Fluids, Sealers and Adhesives





Torque Specifications

Automatic Transmission/Transaxle External Controls





Lubricants, Fluids, Sealers and Adhesives





Torque Specifications