Operation CHARM: Car repair manuals for everyone.
Manuals through 2025 now available!

Our trusted friends have launched a new website named LEMON, which has newer manuals. It also contains all the CHARM manuals.

LEMON is the spiritual successor to CHARM, I recommend you try it!

Link: lemon-manuals.la or lemon-manuals.org.ua

(Some people have issue connecting. LEMON is investigating. For now, use Firefox or change your DNS server)

Or, hide this message: temporarily or permanently

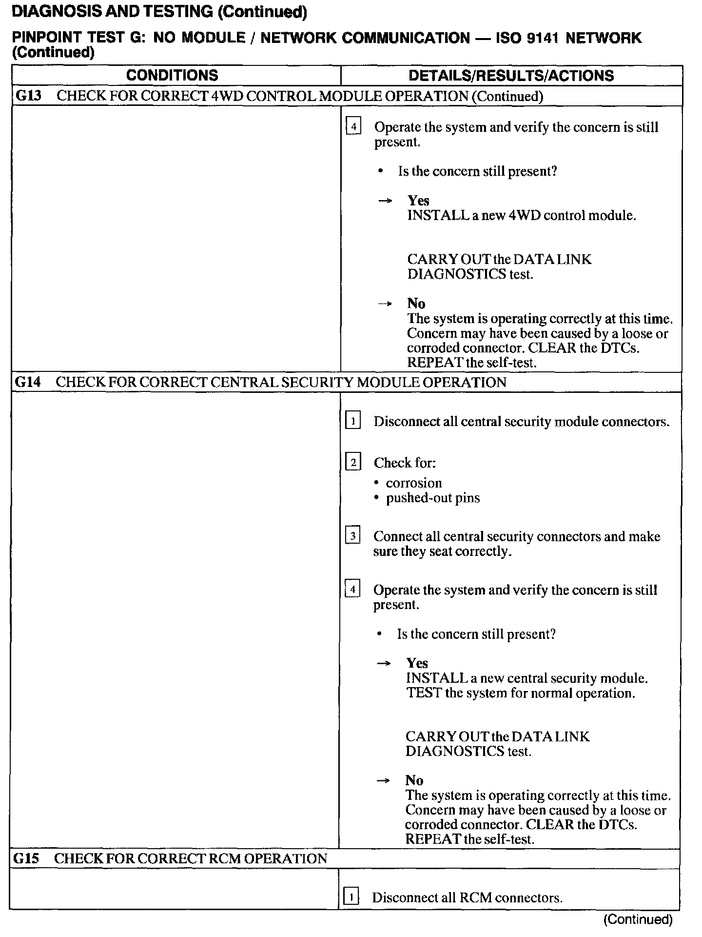
Test G: No Module/Network Communication - ISO 9141 Network

G1 - G2:






G2 - G4:






G4 - G6:






G6 - G8:






G8 - G9:






G10 - G12:






G12 - G13:






G13 - G15:






G15 - G16:






G16: