Operation CHARM: Car repair manuals for everyone.
Manuals through 2025 now available!

Our trusted friends have launched a new website named LEMON, which has newer manuals. It also contains all the CHARM manuals.

LEMON is the spiritual successor to CHARM, I recommend you try it!

Link: lemon-manuals.la or lemon-manuals.org.ua

(Some people have issue connecting. LEMON is investigating. For now, use Firefox or change your DNS server)

Or, hide this message: temporarily or permanently

Test L: No ISO 9141 Network Communication

L1 - L2:






L2 - L3:






L4 - L5:






L5 - L6:






L7 - L8:






L9:






L10 - L11:






L12 - L13:






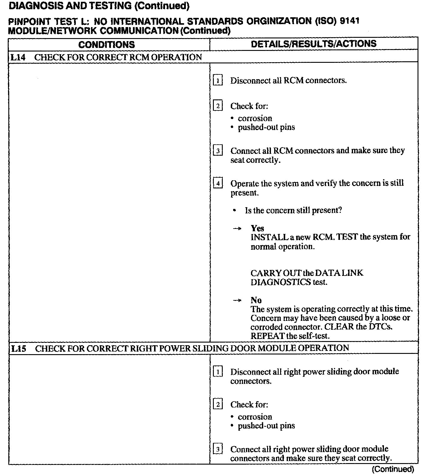
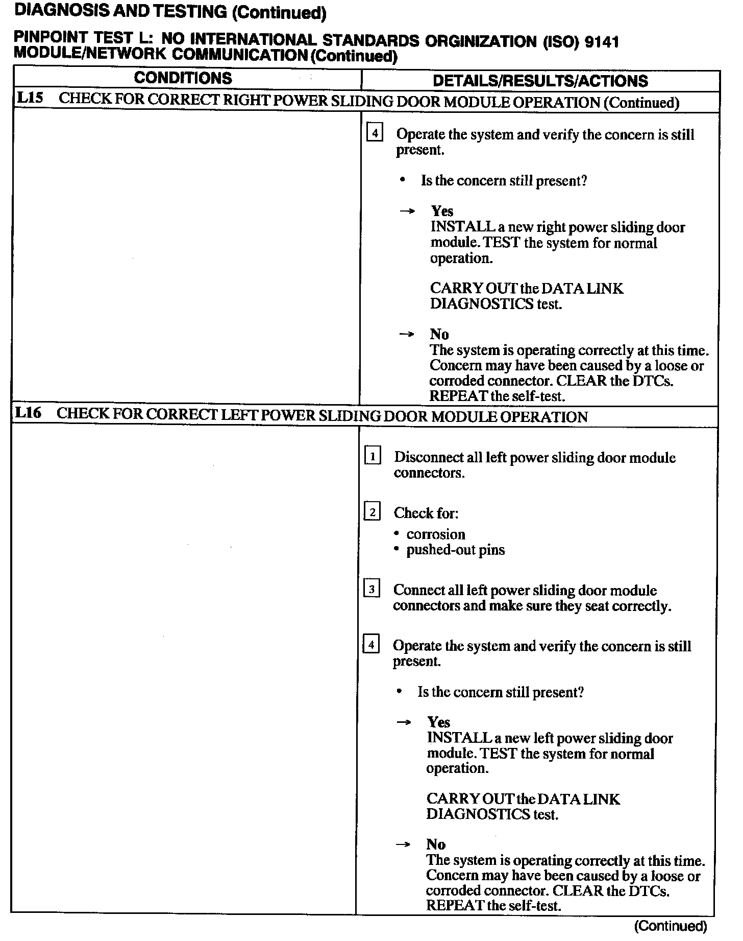
L14 - L15:






L15 - L16:






L17: