Operation CHARM: Car repair manuals for everyone.
Manuals through 2025 now available!

Our trusted friends have launched a new website named LEMON, which has newer manuals. It also contains all the CHARM manuals.

LEMON is the spiritual successor to CHARM, I recommend you try it!

Link: lemon-manuals.la or lemon-manuals.org.ua

(Some people have issue connecting. LEMON is investigating. For now, use Firefox or change your DNS server)

Or, hide this message: temporarily or permanently

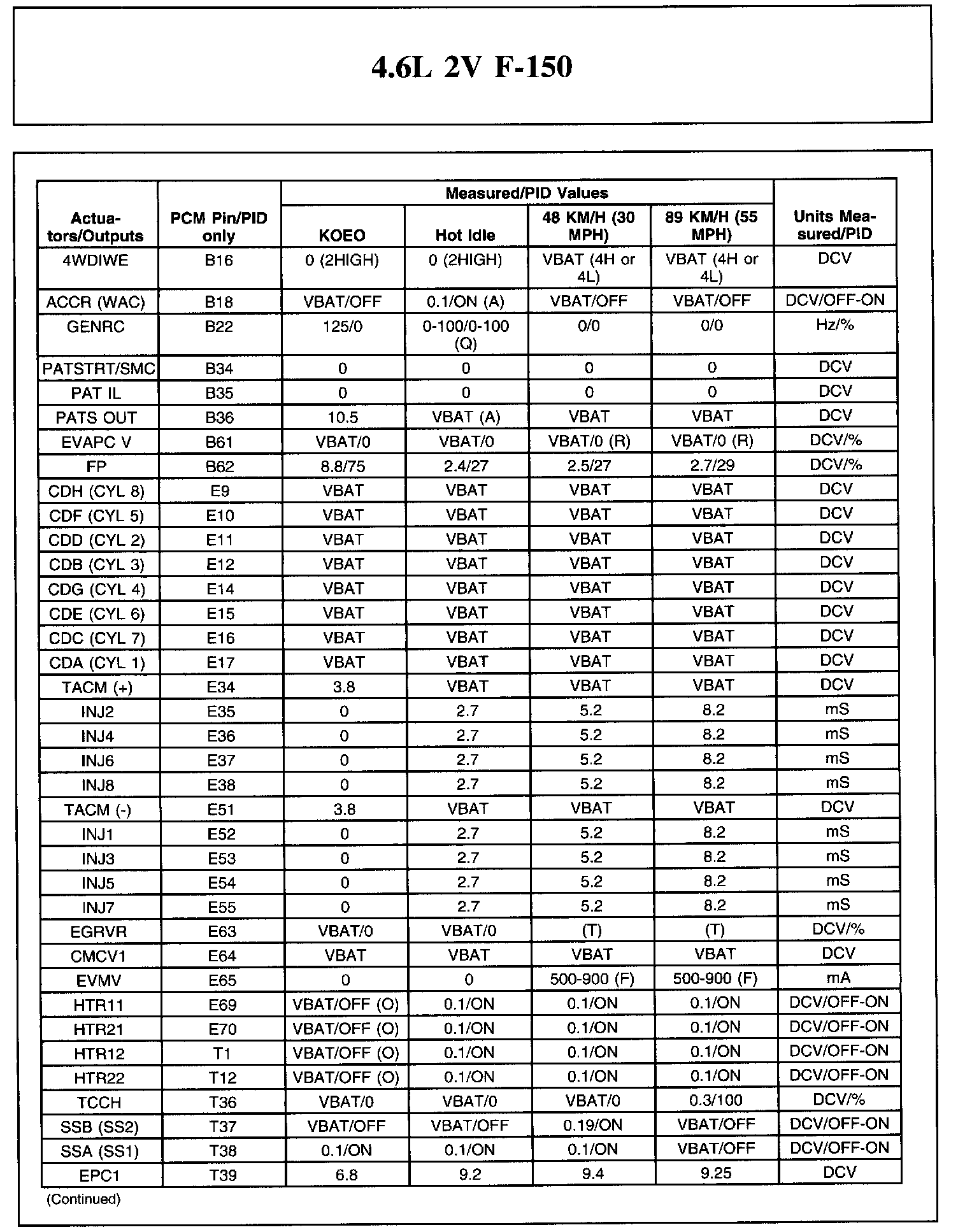
Typical Diagnostic Reference Values

TYPICAL DIAGNOSTIC REFERENCE VALUES


Typical Diagnostic Reference Values (Part 1):






Typical Diagnostic Reference Values (Part 2):






Typical Diagnostic Reference Values (Part 3):






Typical Diagnostic Reference Values (Part 4):






NOTES:
The footnotes are referenced throughout the Typical Diagnostic Reference Value Charts. A letter in parentheses next to a value indicates supplemental information is applicable.

An attempt is made to provide as much information as possible; some vehicles may not display all input and output signals.

The Typical Diagnostic Reference Value Charts do not display fault parameter identifications (PIDs). These are PIDs which indicate a hard fault with the circuit. They display a value of YES or NO and are PIDs ending with the letter F.

Reference values may vary +/-20% depending on operating conditions and other factors. RPM values are axle and tire dependent.

Refer to Introduction, Acronyms and Definitions for technical terms applicable to Ford Motor Company products.

Refer to Diagnostic Methods, Parameter Identification, for PID descriptions. Parameter Identification (PID)

For detailed transmission diagnostics, refer to appropriate Vehicle System. Transmission signals may be referred to in either alpha or numeric form. For example, 1=A, 2=B, 3=C.

A. A/C on.
B. Cooling fan on (single, low or high speed).
C. Heated oxygen sensors (HO2S) should switch from rich to lean at least once every 3 seconds. HO2S voltage should toggle above and below 0.450 DCV and never be a negative value. Valid HO2S switching occurs only during closed loop fuel control.
D. Downstream HO2S(s) will stay close to a constant voltage when the catalyst monitor is off (positive value only). When the catalyst monitor is on, HO2S will switch rich to lean above and below 0.450 DCV and never be a negative value. For downstream HO2S(s) (12, 13 22) greater activity will result when the catalyst monitor is active.
E. Brake pedal applied.
F. The electric vapor management valve (VMV) commanded current will vary from 0 mA - 1000 mA depending on the PCM command to purge the EVAP system.
G. While pressing the transmission control switch (TCS) or switching to manual drive mode.
H. Value is dependent on fuel tank level. Typical operating range is 15% (empty) to 90% (full).
I. Steering wheel turned.
J. Clutch pedal applied.
K. Value is dependent upon ambient air temperature and may fall outside of range.
L. Value is not useful under this condition.
M. If equipped.
N. Transmission in selected range.
O. May change state under this condition.
P. While pressing switch.
Q. Frequency cycles high within a few seconds of turning headlamps on. Frequency cycles back to 0 Hz shortly after cycling high.
R. Canister vent duty cycles to 100% (close) when EVAP monitor test is running.
S. Refer to Antitheft and Alarm Systems.
T. EGR voltage and duty cycle will vary from 0-VBAT or 0-100% depending on EGR demand.
U. RPM dependent. If signal is 0 Hz at idle, check signal at 900 RPM.
V. Crank position.