Operation CHARM: Car repair manuals for everyone.
Manuals through 2025 now available!

Our trusted friends have launched a new website named LEMON, which has newer manuals. It also contains all the CHARM manuals.

LEMON is the spiritual successor to CHARM, I recommend you try it!

Link: lemon-manuals.la or lemon-manuals.org.ua

(Some people have issue connecting. LEMON is investigating. For now, use Firefox or change your DNS server)

Or, hide this message: temporarily or permanently

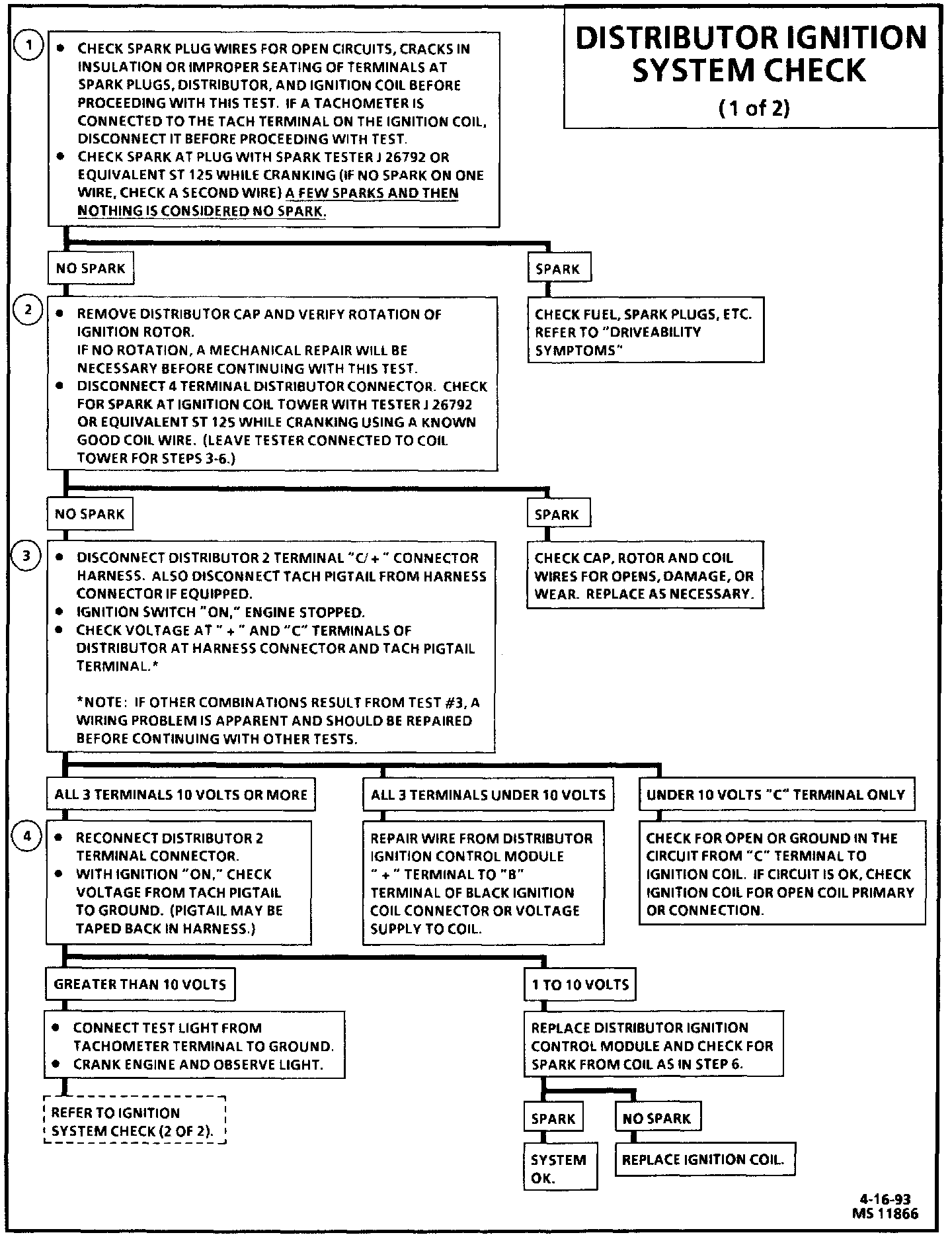
System Check - Distributor Ignition (DI)

DI Chart (1 of 2):




DI Chart (2 of 2):




DI Circuit:






CHART TEST DESCRIPTION:
Number(s) below refer to circled number(s) on the diagnostic chart.
1. Two wires are checked, to ensure that an open is not present in a spark plug wire. This step also checks for mechanical problems.
2. A spark indicates the problem must be the distributor cap, rotor, or coil output wire.
3. Normally, there should be battery voltage at the "C" and "+" terminals on the coil connector. Low voltage would indicate an open or a high resistance circuit from the distributor to the coil or ignition switch. If "C" terminal voltage was low, but "+" terminal voltage is 10 volts or more, circuit from "C" terminal to ignition coil or ignition coil primary winding is open.
4. Checks for a shorted module or grounded circuit from the ignition coil to the module. The distributor module should be turned "OFF," so normal voltage should be about 12 volts.
If the module is turned "ON," the voltage would be low, but above 1 volt. This could cause the ignition coil to fail from excessive heat.
With an open ignition coil primary winding, a small amount of voltage will leak through the module from the "Batt" to the "Tach" terminal.
5. Applying a voltage (1.35 to 1.50 volts) to module terminal "P" should turn the module "ON" and the "Tach" terminal voltage should drop to about 7-9 volts. This test will determine whether the module or coil is faulty or if the pick-up coil is not generating the proper signal to turn the module "ON." This test can be performed by using a DC test battery with a rating of 1.5 volts. (Such as AA, C, or D cell.) The battery must be a known good battery with a voltage of over 1.35 volts.
6. This should turn "OFF" the module and cause a spark. If no spark occurs, the fault is most likely in the ignition coil because most module problems would have been found before this point in the procedure. A distributor ignition control module tester (J 24642) could determine which is at fault.

DIAGNOSTIC AIDS:
A tach filler could cause an ignition system problem. If voltage measured at distributor 2 terminal connector (Terminal "C") with ignition "ON" increases when tach terminal connector is disconnected the filter is faulty and should be replaced.