Operation CHARM: Car repair manuals for everyone.
Manuals through 2025 now available!

Our trusted friends have launched a new website named LEMON, which has newer manuals. It also contains all the CHARM manuals.

LEMON is the spiritual successor to CHARM, I recommend you try it!

Link: lemon-manuals.la or lemon-manuals.org.ua

(Some people have issue connecting. LEMON is investigating. For now, use Firefox or change your DNS server)

Or, hide this message: temporarily or permanently

Introduction

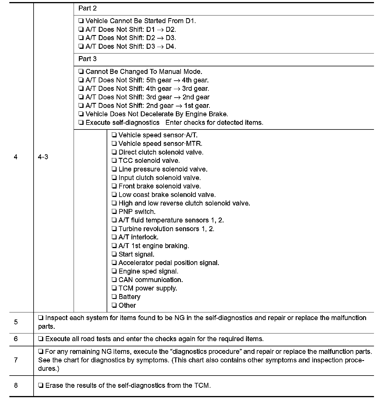
How To Perform Trouble Diagnosis For Quick and Accurate Repair

INTRODUCTION
The TCM receives a signal from the vehicle speed sensor, accelerator pedal position sensor (throttle position sensor) or PNP switch and provides shift control or lock-us control via A/T solenoid valves.





The TCM also communicates with the ECM by means of a signal sent from sensing elements used with the OBD-related parts of the A/T system for malfunction-diagnostic purposes. The TCM is capable of diagnosing malfunctioning parts while the ECM can store malfunctions in its memory.

Input and output signals must always be correct and stable in the operation of the A/T system. The A/T system must be in good operating condition and be free of valve seizure, solenoid valve malfunction, etc.





It is much more difficult to diagnose an error that occurs intermittently rather than continuously. Most intermittent errors are caused by poor electric connections or improper wiring. In this case, careful checking of suspected circuits may help prevent the replacement of good parts.

A visual check only may not find the cause of the errors. A road test with CONSULT-II (or GST) or a circuit tester connected should be performed. Follow the "WORK FLOW".





Before undertaking actual checks, take a few minutes to talk with a customer who approaches with a driveability complaint. The customer can supply good information about such errors, especially intermittent ones. Find out what symptoms are present and under what conditions they occur. A "Diagnostic Worksheet" as shown on the example should be used.

Start your diagnosis by looking for "conventional" errors first. This will help troubleshoot driveability errors on an electronically controlled engine vehicle.

Also check related Service bulletins.

DIAGNOSTIC WORKSHEET





Information From Customer
KEY POINTS
^ WHAT...Vehicle & A/T model
^ WHEN...Date, Frequencies
^ WHERE...Road conditions
^ HOW...Operating conditions, Symptoms

Test 1 Of 3:




Test 2 Of 3:




Test 3 Of 3:





Diagnostic Worksheet Chart