Operation CHARM: Car repair manuals for everyone.
Manuals through 2025 now available!

Our trusted friends have launched a new website named LEMON, which has newer manuals. It also contains all the CHARM manuals.

LEMON is the spiritual successor to CHARM, I recommend you try it!

Link: lemon-manuals.la or lemon-manuals.org.ua

(Some people have issue connecting. LEMON is investigating. For now, use Firefox or change your DNS server)

Or, hide this message: temporarily or permanently

Programming and Relearning

HOW TO CODE REGISTRATION

NOTE: When replacing the theft deterrent ECU or transmitter, registration of recognition code is necessary because they are provided as a single components.

a. Select the operation mode.
- Add mode
- Rewrite mode
- Prohibition mode
- Confirmation mode

HINT:
- The "Add mode" is for adding new recognition codes while retaining the already registered codes. This mode is used when the transmitter is added. When the number of the registered codes exceeds 4 codes, the previously registered codes will be erased in order, staring from the first registered code.
- The "Rewrite mode" is for erasing all the registered codes and registering newly recognized codes only. This mode is used when the transmitter or the door control receiver is replaced.
- The "Prohibition mode" is for erasing all the registered codes to prohibit the wireless door lock operation. This mode is used when the transmitter is lost.
- The "Confirmation mode" is for confirming the number of recognition codes that are registered. This mode is used to check the number of registered codes when new codes are added to the registration, etc.

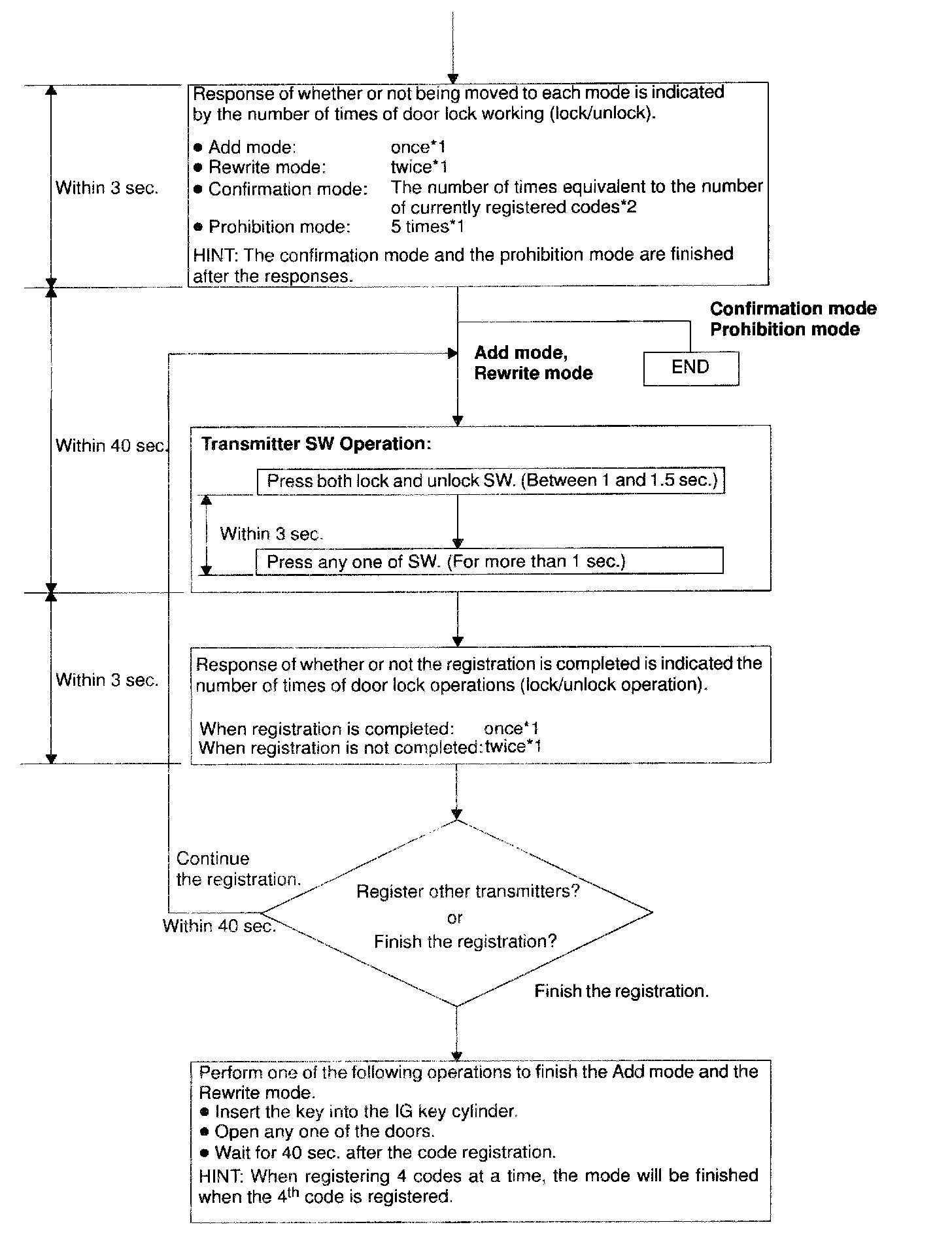
b. Follow the chart on the following page to register the transmitter recognition code to the theft deterrent ECU.

HINT:
- When procedure is outside the specification, the registration operation is cancelled. Maximum of 4 recognition codes can be registered.




c. By LEXUS Hand-Held Tester

HINT:
This image is to show the registration procedure briefly using the hand-held tester.
For detailed procedures, please refer to the prompts on the tester screen.
The number of currently registered codes can be checked out on the first screen of the WIRELESS REGISTRATION







d. By Switch Operation:






HINT:
Operation cycle of the door lock (lock/unlock operation)