Operation CHARM: Car repair manuals for everyone.
Manuals through 2025 now available!

Our trusted friends have launched a new website named LEMON, which has newer manuals. It also contains all the CHARM manuals.

LEMON is the spiritual successor to CHARM, I recommend you try it!

Link: lemon-manuals.la or lemon-manuals.org.ua

(Some people have issue connecting. LEMON is investigating. For now, use Firefox or change your DNS server)

Or, hide this message: temporarily or permanently

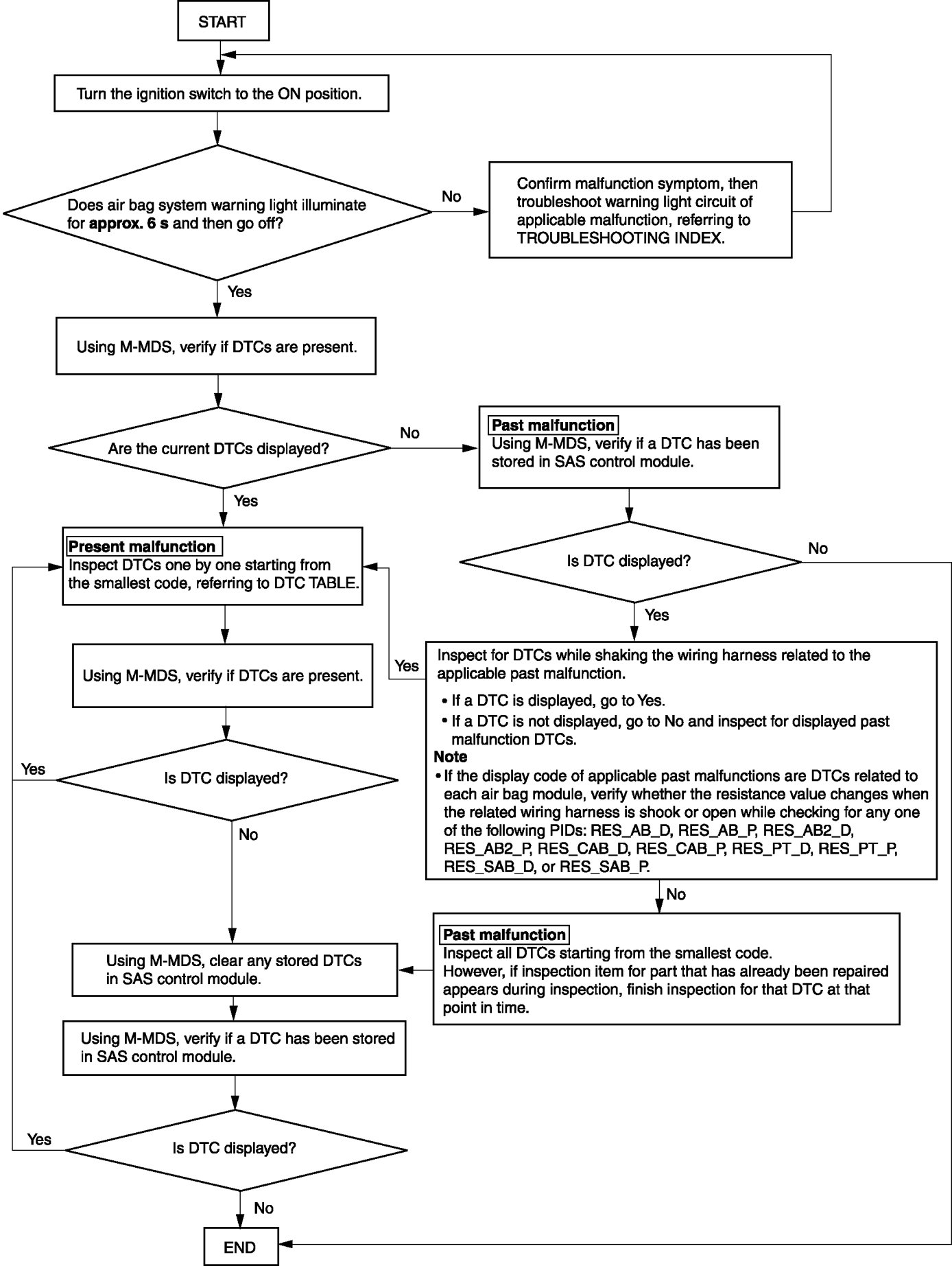
Two-Step Deployment Control System




FLOWCHART [TWO-STEP DEPLOYMENT CONTROL SYSTEM]

- Use the following flowchart to verify the cause of the trouble.
NOTE:
- While performing the inspection of the past malfunction code, the applicable DTCs may be added to memory by removing or disconnecting the related parts. Inspect only the DTCs that were indicated before inspecting.

- When DTCs of the present malfunction are no longer output after present or past malfunctions or both have been repaired, be sure to perform past malfunction display cancellation to prevent repair of malfunctions that have already been repaired.