Operation CHARM: Car repair manuals for everyone.
Manuals through 2025 now available!

Our trusted friends have launched a new website named LEMON, which has newer manuals. It also contains all the CHARM manuals.

LEMON is the spiritual successor to CHARM, I recommend you try it!

Link: lemon-manuals.la or lemon-manuals.org.ua

(Some people have issue connecting. LEMON is investigating. For now, use Firefox or change your DNS server)

Or, hide this message: temporarily or permanently

Part 1




ENGINE CONTROL SYSTEM OPERATION INSPECTION [L3 WITH TC]

Input Signal System Investigation Procedure

1. Find an unusual signal.

2. Locate the source.

3. Repair or replace the defective part.

4. Confirm that the unusual signal has been erased.

Finding unusual signals

While referring to On-Board Diagnostic Test, use the PID/DATA monitor and record function to inspect the input signal system relating to the problem.
1. Start the engine and idle the vehicle. You can assume that any signals that are out of specification by a wide margin are unusual.

2. When recreating the problem, any sudden change in the monitor input signals that is not consciously created by the driver can be determined as unusual.

Locating the source of unusual signals

CAUTION:
- Compare the M-MDS monitor voltage with the measurement voltage using the digital measurement system function. If you use another tester, a misreading may occur.
- When measuring the voltage, attach the tester ground to the ground of the PCM that is being tested, or to the engine itself. If this is not done, the measured voltage and actual voltage may differ.
- After connecting the pin to a waterproof coupler, confirm continuity and measure the voltage, and inspect the waterproof connector for cracks. If there are any, use sealant to fix them. Failure to do this may result in deterioration of the wiring harness or terminal from water damage, leading to problems with the vehicle.

Thermistor type (IAT sensor, ECT sensor No.1, ECT sensor No.2 and boost air temperature sensor)





Investigate the input signal system for thermistor type

1. When an unusual signal is received, measure the #1 PCM terminal voltage.

- If the #1 terminal voltage and the M-MDS monitor voltage are the same, proceed to the next step.
- If there is a difference of 0.5 V or more, inspect the following points concerning the PCM connector:

- Female terminal opening is loose.
- Coupler (pin holder) damage
- Pin discoloration (blackness)
- Wiring harness/pin crimp is loose or disconnected.

2. Measure the #2 sensor terminal voltage.

- If there is a 0.5 V or more difference between the sensor and M-MDS voltages, inspect the wiring harness for open or short circuits.
- If the sensor and M-MDS voltages are the same, inspect the following points concerning the sensor connector:

- Female terminal opening is loose.
- Coupler (pin holder) damage
- Pin discoloration (blackness)
- Wiring harness/pin crimp is loose or disconnected.

- If there are no problems, proceed to next investigation below.

Investigate the ground system for thermistor type

- Confirm that terminal sensor #3 is at 0 V.

- If it is at 0 V, inspect the sensor. If necessary, replace the sensor.
- If not, inspect for the following:

- Open circuit in wiring harness
- Female terminal opening is loose.
- Coupler (pin holder) damage
- Pin discoloration (blackness)
- Wiring harness/pin crimp is loose or disconnected.

Main Relay Operation Inspection

1. Verify that the main relay clicks when the ignition is switched to ON, then to off.

- If there is no operation sound, inspect the following:

- Main relay Relay Inspection
- Wiring harness and connector between battery positive terminal and main relay terminal A
- Wiring harness and connector between PCM terminal 1AT and main relay terminal B

Intake Manifold Vacuum Inspection

1. Verify air intake hoses are installed properly.

2. Start the engine and run it is idling.

3. Disconnect the vacuum hose between the intake manifold and purge solenoid valve from the intake manifold side.

4. Connect a vacuum gauge to the intake manifold and measure the intake manifold vacuum.

- If not as specified, inspect the following:

Specification
- More than 60 kPa {450 mmHg, 18 inHg}

NOTE:
- Air suction can be located by the engine speed change when lubricant is sprayed on the area where suction is occurring.

- Air suction at throttle body, charge air cooler, intake manifold and PCV valve installation points
- EGR valve (stuck open)
- Engine compression Testing and Inspection

Drive-by-wire Control System Inspection

Engine coolant temperature compensation inspection

1. Access the following PIDs using the M-MDS: (See On-Board Diagnostic Test)

- ECT
- IAT
- RPM

2. Verify that the engine is cold, then start the engine.

3. Verify that the engine speed decreases as the engine warms up.

- If the engine speed does not decrease or decreases slowly, inspect the following:

- ECT sensor No.1 and related wiring harness Testing and Inspection
- Throttle body and related wiring harness Testing and Inspection

Load compensation inspection

1. Start the engine and run it is idling.

2. Verify that the DTC P0506:00 or P0507:00 is not displayed. On-Board Diagnostic Test

- If the DTC P0506:00, or P0507:00 is displayed, perform the DTC inspection. P0506 P0507

3. Access the RPM PID using the M-MDS. On-Board Diagnostic Test
NOTE:
- Excludes temporary idle speed drop just after the loads are turned on.

4. Verify that the engine speed is within the specification under each load condition.

- If the load condition is not as specified, inspect the following:

- A/C system (A/C request signal is always on or off) No. 23 A/C Does Not Work Sufficiently No. 24 A/C Is Always On Or A/C Compressor Runs Continuously
- Electrical load
- Charging system Testing and Inspection Testing and Inspection

Engine speed





*1
When the following electrical loads are on: Headlights, rear defroster, cooling fan No.1, cooling fan No.2, and the blower motor (2-step or more)

Throttle position (TP) sweep inspection

1. Perform the KOER self test. KOEO/KOER Self Test

2. Verify that none of the following DTCs are displayed:

- P0122:00, P0123:00, P0222:00, P0223:00, P2100:00, P2101:00, P2107:00, P2108:00, P2119:00, P2122:00, P2123:00, P2127:00, P2128:00, P2135:00, P2138:00

- If any one DTC is displayed, perform the DTC inspection. Engine - DTC Table

3. Access the APP1 and APP2 PIDs using the M-MDS. On-Board Diagnostic Test

4. Switch the ignition to ON.

5. Verify the APP1 and APP2 PIDs when the accelerator pedal released and depresses.

Specification
- Accelerator pedal released:

- APP1: Approx. 0.4 V
- APP2: Approx. 0.4 V

- Accelerator pedal depressed:

- APP1: Approx. 3.4 V
- APP2: Approx. 3.4 V

- If not as specified, inspect for the following harnesses and connectors:

- APP sensor terminal A-Main relay terminal C
- APP sensor terminal B-PCM terminal 1AC
- APP sensor terminal C-PCM terminal 1AV
- APP sensor terminal D-PCM terminal 1U
- APP sensor terminal E-PCM terminal 1Y
- APP sensor terminal F-PCM terminal 1Q

- If there is no malfunction, replace the accelerator pedal.

Brake override system operation inspection

NOTE:
- If the brake override system operates normally after performing the following inspections, the PCM stores DTC P2299:00.

1. Start the engine and run it is idling.

2. Verify that the engine speed becomes less than 1,100 rpm under the following conditions.

- Neutral
- Engine speed of 1,150 rpm or more other than idle
- Brake pedal depressed

- If the engine speed becomes less than 1,100 rpm, clear the PCM DTC using the M-MDS. (System operation is normal.)
- If the engine speed does not become less than 1,100 rpm, inspect for the following parts, then repair or replace the malfunctioning part:

- APP sensor Testing and Inspection
- Neutral switch Testing and Inspection
- Clutch switch Testing and Inspection
- Brake switch No.1 Testing and Inspection
- Brake switch No.2 Testing and Inspection

Variable Swirl System Operation Inspection

1. Access the ECT PID using the M-MDS. On-Board Diagnostic Test

2. Verify that the ECT PID is below 0 °C {32 °F}.

3. Start the engine.

4. Inspect the rod operation under the following conditions: Rod operation





If the rod operation is not specified, inspect as follows:

1. Perform the KOER self test using the M-MDS and verify that the DTCs P2004:00, P2006:00, P2009:00 or P2010:00 is not displayed. KOEO/KOER Self Test

- If the DTC P2004:00, P2006:00, P2009:00 or P2010:00 is displayed, perform DTC inspection. P2004 P2006 P2009 P2010

If simulation function of M-MDS is used:
- Switch the ignition to ON (engine off).
- Turn the variable swirl solenoid valve from off to on using the IMRC PID and verify that the operation sound of the solenoid valve is heard.

- If the operation sound is not heard, replace the variable swirl solenoid valve. Testing and Inspection
- If the operation sound is not heard, inspect the following:

- Vacuum hose and vacuum chamber for looseness or damage
- Variable swirl shutter valve actuator Testing and Inspection
- Check valve is stuck open or closed.
- Shutter valve cannot move smoothly.

If simulation function of M-MDS is not used:
1 Inspect the variable swirl solenoid valve. Testing and Inspection

- If the variable swirl solenoid valve is not normal, replace the variable swirl solenoid valve. Service and Repair
- If the variable swirl solenoid valve is normal, inspect the following:

- Vacuum hose and vacuum chamber for looseness or damage
- Variable swirl shutter valve actuator Testing and Inspection
- Check valve is stuck open or closed.
- Shutter valve cannot move smoothly.

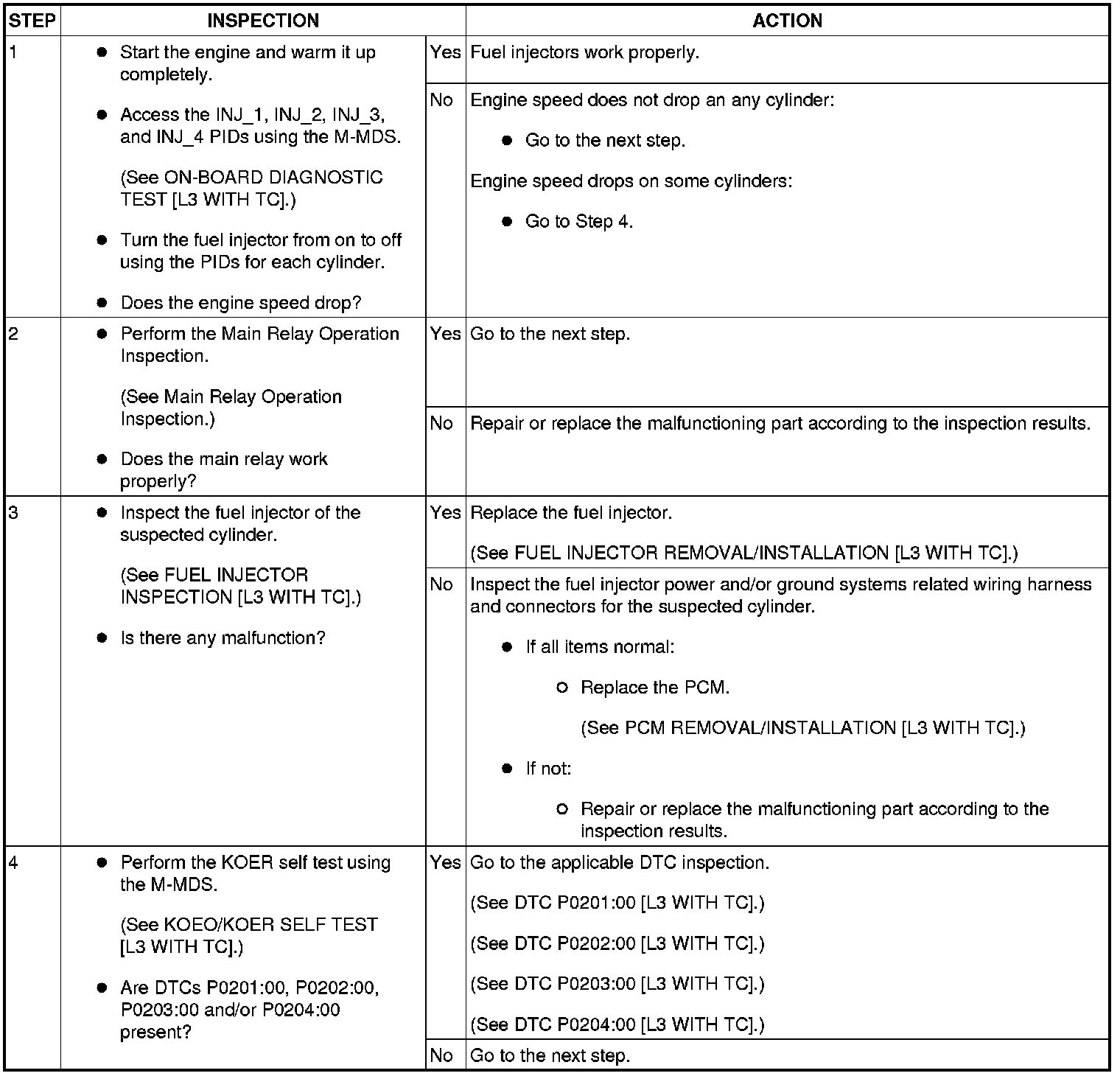
Fuel Injector Operation Inspection

If simulation function of M-MDS is used:









If simulation function of M-MDS is not used:





Fuel Cut Control System Inspection

NOTE:
- This inspection has to be performed after the Fuel Injector Operation Inspection.

If simulation function of M-MDS is used:

1. Warm up the engine and idle it.

2. Access the RPM and the FUELPW1 PIDs using the M-MDS. On-Board Diagnostic Test

3. Monitor both PIDs while performing the following steps:
a. Depress the accelerator pedal and increase the RPM PID to 4,000 rpm.

b. Quickly release the accelerator pedal (brake pedal is not depressed) and verify that the FUELPW1 PID is 0 msec., and 2-5 msec. when the RPM PID drops below 1,200 rpm.

- If not as specified, inspect the following.

- ECT sensor No.1 and related wiring harness Testing and Inspection

If simulation function of M-MDS is not used:

1. Warm up the engine and idle it.

2. Measure the fuel injector control signal wave profile using the oscilloscope while performing the following steps.
a. Depress the accelerator pedal and increase the engine speed to 4,000 rpm.

b. Quickly release the accelerator pedal (brake pedal is not depressed) and verify that the wave profile constant B+, and the wave appears when the engine speed drops below 1,200 rpm. Component Tests and General Diagnostics

- If not as specified, inspect the following.

- ECT sensor No.1 and related wiring harness Testing and Inspection

Fuel Pump Operation Inspection

If simulation function of M-MDS is not used:

1. Remove the fuel-filler cap.

2. Switch the ignition to ON (engine off).

3. Turn the fuel pump relay from off to on using the FP PID and inspect if the operation sound of the fuel pump is heard. On-Board Diagnostic Test

- If no operation sound is heard, proceed to the next step.

4. Measure the voltage at the wiring harness side fuel pump unit terminal B with the FP PID turned on.

- If the voltage is as specified, inspect the following:

- Fuel pump continuity
- Fuel pump ground
- Wiring harness between fuel pump relay and PCM terminal 1H

- If not as specified, inspect the following:

- Fuel pump relay
- Fuel pump speed control relay
- Wiring harness connector (Battery-Fuel pump relay-Fuel pump resister-Fuel pump unit-Ground)

Specification
- 8.0-11.5 V (Ignition switch at ON)

If simulation function of M-MDS is not used:

CAUTION:
- Connecting the wrong check connector terminal may possibly cause a malfunction. Carefully connect the specified terminal only.

1. Short the check connector terminal F/P to body ground using a jumper wire.

2. Remove the fuel-filler cap.

3. Switch the ignition to ON (engine off).

4. Verify that the fuel pump operation sound is heard.

- If no operation sound is heard, proceed to the next step.

5. Measure the voltage at wiring harness side fuel pump unit connector terminal B.

- If the voltage is as specified, inspect the following:

- Fuel pump continuity
- Fuel pump ground
- Wiring harness between fuel pump relay and PCM terminal 1H

- If not as specified, inspect the following:

- Fuel pump relay Relay Inspection
- Fuel pump speed control relay Relay Inspection
- Wiring harness connector (Battery-Fuel pump relay-Fuel pump resister-Fuel pump unit-Ground)

Specification
- 8.0-11.5 V (Ignition switch at on)

Fuel Pump Control System Inspection

If simulation function of M-MDS is used:

1. Switch the ignition to ON (engine off).

2. Access the FP PID using the M-MDS. On-Board Diagnostic Test

3. Turn the fuel pump relay from off to on and inspect if the operation sound of the fuel pump relay is heard.

- If no operation sound is heard, inspect the fuel pump relay. Relay Inspection
- If the fuel pump relay is normal, inspect the following:

- Wiring harness and connectors (Ignition switch-Fuel pump relay-PCM terminal 1H) (vehicles without advanced keyless entry and push button start system)
- Wiring harness and connectors (Relay block-Fuel pump relay-PCM terminal 1H) (vehicles with advanced keyless entry and push button start system)

If simulation function of M-MDS is not used:

1. Crank the engine and verify that the fuel pump relay operation sound is heard.

2. If the operation sound is not heard, inspect the following:

- Fuel pump relay Relay Inspection
- Wiring harness and connectors (Ignition switch-Fuel pump relay-PCM terminal 1H) (vehicles without advanced keyless entry and push button start system)
- Wiring harness and connectors (Relay block-Fuel pump relay-PCM terminal 1H) (vehicles with advanced keyless entry and push button start system)

Fuel Pump Speed Control Inspection

If simulation function of M-MDS is used:

1. Perform the Fuel Pump Operation Inspection.

2. Connect the M-MDS to the DLC-2.

3. Remove the fuel-filler cap.

4. Start the engine and run it is idling.

5. Turn the fuel pump speed control relay from off to on using the FPRR PID and verify that the fuel pump unit operation sound frequency at FPRR PID on is higher than off. On-Board Diagnostic Test

- If it cannot verified, inspect for the following:

- Fuel pump resister
- Fuel pump speed control relay (stuck on or off) Relay Inspection
- Wiring harnesses and connectors (open or short to ground circuit at fuel pump relay terminal C-fuel pump speed control relay-fuel pump unit terminal B)

If simulation function of M-MDS is not used:

1. Perform the fuel pump operation inspection.

2. Remove the fuel-filler cap.

3. Verify that the fuel pump unit operation sound frequency at cranking is higher than during idle.

- If it cannot verified, inspect for the following:

- Fuel pump resister
- Fuel pump speed control relay (stuck on or off) Relay Inspection
- Wiring harnesses and connectors (open or short to ground circuit at fuel pump relay terminal C-fuel pump speed control relay-fuel pump unit terminal B)

Spark Test

1. Disconnect the fuel pump relay.

2. Verify that each ignition coil and connector is connected properly.

3. Inspect the ignition system in the following procedure.

WARNING:
- High voltage in the ignition system can cause strong electrical shock which can result in serious injury. Avoid direct contact to the vehicle body during the following spark test.









EGR Control System Inspection

If simulation function of M-MDS is used:

1. Crank the engine and verify that the EGR valve operation (initial operation) sound is heard.

- If the operation sound is not heard, verify that the DTC P0403:00 is shown. On-Board Diagnostic Test

- If the DTC P0403:00 is shown, perform the DTC inspection. P0403

2. Start the engine run it is idling.

3. Increase the step value of the EGR valve from 0 to 57 using the SEGRP PID of the simulation function. On-Board Diagnostic Test

4. Operate the EGR valve and inspect if the engine speed becomes unstable or the engine stalls.

- If the engine speed does not change, proceed to the following.

a. Stop the engine.

b. Remove the EGR valve. Service and Repair

c. Connect the EGR valve connector.

d. Switch the ignition to ON (engine off).

e. Increase the step value of EGR valve from 0 to 57 using the SEGRP PID.

f. Verify that the EGR valve operates according to the SEGRP PID.

- If the EGR valve is operated, clean the EGR valve and the EGR gas passage.
- If the EGR valve does not operate, replace the EGR valve.

5. Start the engine and warm it up completely.

6. Access the following PIDs: On-Board Diagnostic Test

- ECT, RPM, SEGRP, APP1, APP2, TP REL, VSS

Continued in Part 2 Part 2