Operation CHARM: Car repair manuals for everyone.
Manuals through 2025 now available!

Our trusted friends have launched a new website named LEMON, which has newer manuals. It also contains all the CHARM manuals.

LEMON is the spiritual successor to CHARM, I recommend you try it!

Link: lemon-manuals.la or lemon-manuals.org.ua

(Some people have issue connecting. LEMON is investigating. For now, use Firefox or change your DNS server)

Or, hide this message: temporarily or permanently

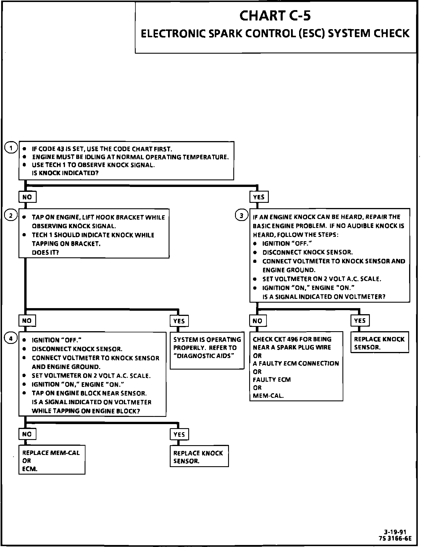
Knock Sensor: Testing and Inspection

Electronic Spark Control (ESC - Knock Sensor) Circuit Diagram:






CIRCUIT DESCRIPTION:

The knock sensor is used to detect engine detonation and the PCM will retard the electronic spark timing based on the signal being received, The circuitry within the knock sensor causes the PCM's supplied 5 volt signal to be pulled down so that under a no knock condition, CKT 496 would measure about 2.5 volts.

The knock sensor produces an AC signal which rides on the 2.5 volts DC voltage. The amplitude and frequency are dependent upon the intensity of the knock.

The Mem-Cal used with this vehicle contains the functions which were part of the remotely mounted ESC modules used on other GM vehicles. The ESC portion of the Mem-Cal then sends a signal to other parts of the PCM which adjusts the spark timing to reduce detonation.



TEST DESCRIPTION

Chart C-5, Electronic Spark Control System Check:






Numbers below refer to circled numbers on the diagnostic chart.

1. With engine idling, there should not be a knock signal present at the PCM because detonation is not likely under a no load condition.
2. Tapping on the engine lift hook should simulate a knock signal to determine if the sensor is capable of detecting detonation. If no knock is detected, try tapping on engine block closer to sensor before replacing sensor.
3. If the engine has an internal problem which is creating a knock, the knock sensor may be responding to the internal failure.
4. This test determines if the knock sensor is faulty or if the ESC portion of the Mem-Cal is faulty. If it is determined that the Mem-Cal is faulty, be sure that it is properly installed and latched into place. If not properly installed, repair and retest.

DIAGNOSTIC AIDS:

While observing knock signal on the "Scan," there should be an indication that knock is present when detonation can be heard. Detonation is most likely to occur under high engine load conditions.

NOTE: If the ESC circuit is routed to close to the secondary ignition wires, induced voltage may cause a false knock signal.