Operation CHARM: Car repair manuals for everyone.
Manuals through 2025 now available!

Our trusted friends have launched a new website named LEMON, which has newer manuals. It also contains all the CHARM manuals.

LEMON is the spiritual successor to CHARM, I recommend you try it!

Link: lemon-manuals.la or lemon-manuals.org.ua

(Some people have issue connecting. LEMON is investigating. For now, use Firefox or change your DNS server)

Or, hide this message: temporarily or permanently

4T80-E Automatic Transaxle



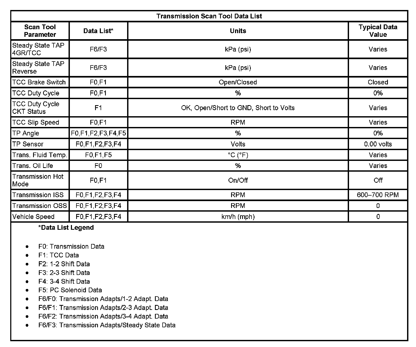
Transmission Scan Tool Data List
Use the scan tool data values under the following conditions:
^ The Diagnostic System Check - Automatic Transmission is complete.
^ The On-Board Diagnostics are functioning properly.
^ No DTC's are present.
The values below represent a typical display recorded from a properly functioning system.

Important: Do not use a scan tool that displays faulty data. Report the condition to the scan tool manufacturer. The use of a faulty scan tool can result in misdiagnosis and the unnecessary replacement of parts.

Only the parameters listed below are used in this manual for diagnosing. If a scan tool displays other parameters, the values are not recommended by General Motors for use in diagnosis.

Scan tool values below were recorded under the following conditions:
^ Engine at idle
^ Upper radiator hose hot
^ Closed throttle
^ Transmission in Park
^ Closed Loop operation
^ Accessories OFF
^ Brake pedal not applied








Transmission Scan Tool Data List