Operation CHARM: Car repair manuals for everyone.
Manuals through 2025 now available!

Our trusted friends have launched a new website named LEMON, which has newer manuals. It also contains all the CHARM manuals.

LEMON is the spiritual successor to CHARM, I recommend you try it!

Link: lemon-manuals.la or lemon-manuals.org.ua

(Some people have issue connecting. LEMON is investigating. For now, use Firefox or change your DNS server)

Or, hide this message: temporarily or permanently

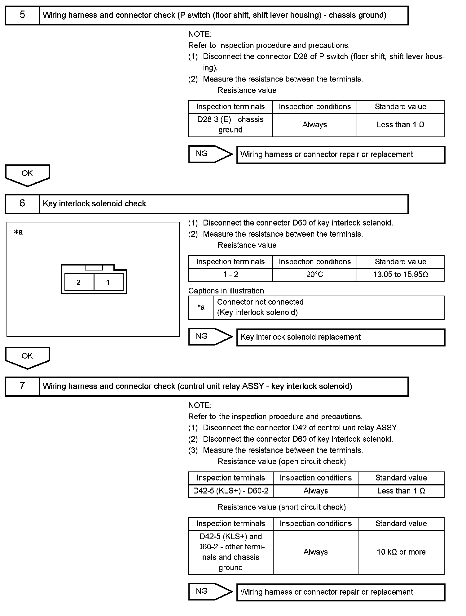
Cannot Remove or Insert the Key

Cannot remove or insert the key.

Explanation of circuit

The control unit relay ASSY outputs a signal to the key interlock solenoid when the ACC signal and P signal are input.

Circuit figure





Inspection steps

CAUTION:
Check the fuse of this circuit before troubleshooting.