Operation CHARM: Car repair manuals for everyone.
Manuals through 2025 now available!

Our trusted friends have launched a new website named LEMON, which has newer manuals. It also contains all the CHARM manuals.

LEMON is the spiritual successor to CHARM, I recommend you try it!

Link: lemon-manuals.la or lemon-manuals.org.ua

(Some people have issue connecting. LEMON is investigating. For now, use Firefox or change your DNS server)

Or, hide this message: temporarily or permanently

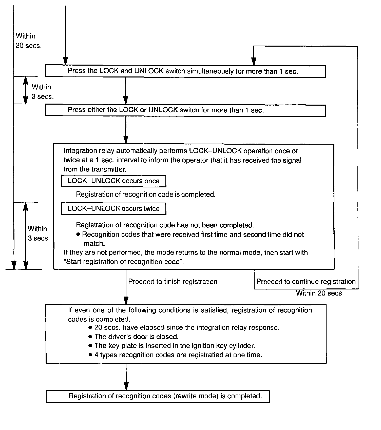
Programming and Relearning

Follow the charts to register the transmitter recognition code at the wireless door lock control receiver.

Part 1:




Part 2:




Part 3:





HINT: When procedure is out of the specified, the operation returns to normal operation. Maximum 4 recognition codes can be registered.