Operation CHARM: Car repair manuals for everyone.
Manuals through 2025 now available!

Our trusted friends have launched a new website named LEMON, which has newer manuals. It also contains all the CHARM manuals.

LEMON is the spiritual successor to CHARM, I recommend you try it!

Link: lemon-manuals.la or lemon-manuals.org.ua

(Some people have issue connecting. LEMON is investigating. For now, use Firefox or change your DNS server)

Or, hide this message: temporarily or permanently

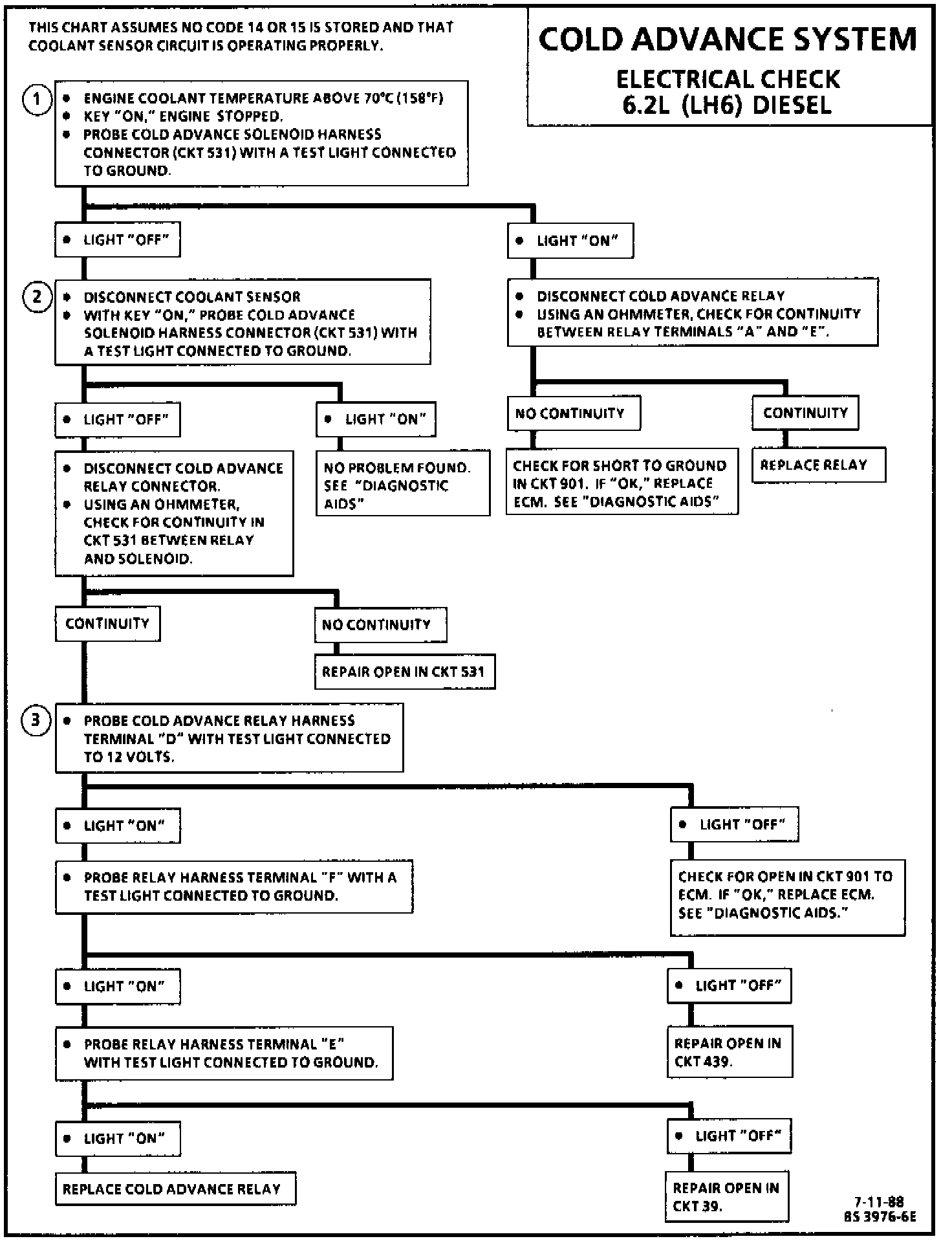
Cold Advance System









Circuit Description:
With the key "ON," and coolant temperature below 80°F, the ECM grounds CKT 901 to the Cold Advance Relay. Grounding CKT 901 turns "ON" the relay, to supply 12 volts to the Cold Advance Solenoid, in the injection pump, and the Glow Plug Controller. The Cold Advance Solenoid is now energized, which causes the injection timing to be advanced approximately 4°.

Test Step Description:
Numbers below refer to the circled numbers on the diagnostic chart.
1. This step will determine if the problem is electrical or a malfunction inside the injection pump.
2. This step will determine if the ECM is able to turn "ON" the Cold Advance Relay.
3. This step will determine if all factors are available for the cold advance relay to operate.

Diagnostic Aids:
^ If there is no electrical problem found, check the operation of the Cold Advance Solenoid in the injection pump. See DIESEL FUEL INJECTION.
^ Before replacing ECM, use an ohmmeter and check the resistance of each ECM controlled relay and solenoid coil. See ECM wiring diagram for coil terminal I.D. of solenoid(s) and relay(s) to be checked. Replace any solenoid where resistance measures less than 20 ohms.