Operation CHARM: Car repair manuals for everyone.
Manuals through 2025 now available!

Our trusted friends have launched a new website named LEMON, which has newer manuals. It also contains all the CHARM manuals.

LEMON is the spiritual successor to CHARM, I recommend you try it!

Link: lemon-manuals.la or lemon-manuals.org.ua

(Some people have issue connecting. LEMON is investigating. For now, use Firefox or change your DNS server)

Or, hide this message: temporarily or permanently

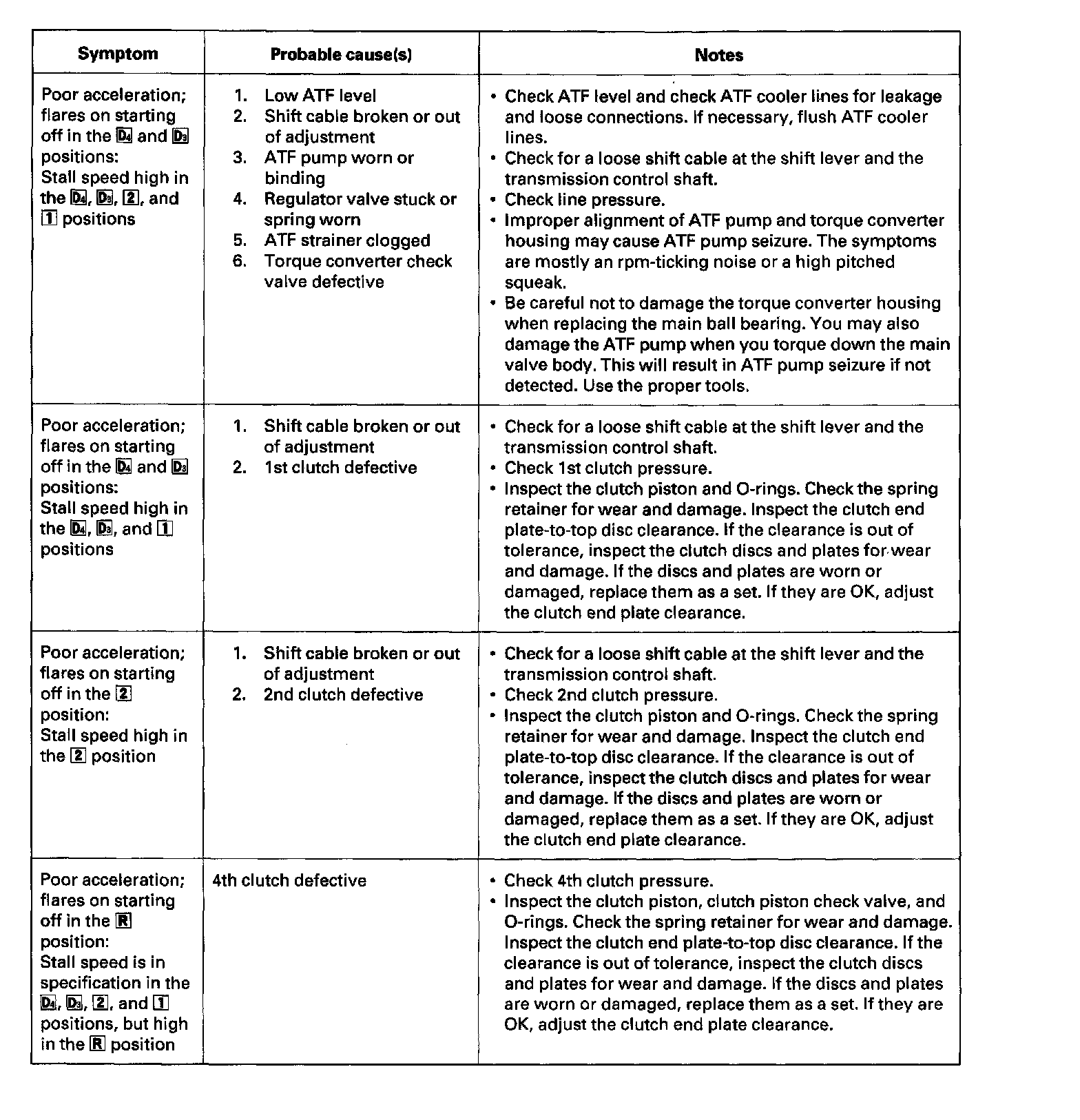
Symptom Troubleshooting Index

Symptom Troubleshooting Index





























These symptoms DO NOT trigger Diagnostic Trouble Codes (DTCs) or cause the D4 indicator to blink. If the Malfunction Indicator Lamp (MIL) was reported ON or the D4 indicator has been blinking, check for DTCs. But if the vehicle has one of the symptoms in the following chart, check the probable causes(s) for it, in the sequence listed, until you find the problem.