Operation CHARM: Car repair manuals for everyone.
Manuals through 2025 now available!

Our trusted friends have launched a new website named LEMON, which has newer manuals. It also contains all the CHARM manuals.

LEMON is the spiritual successor to CHARM, I recommend you try it!

Link: lemon-manuals.la or lemon-manuals.org.ua

(Some people have issue connecting. LEMON is investigating. For now, use Firefox or change your DNS server)

Or, hide this message: temporarily or permanently

A/T - Won't Shift Out of PARK/DTC's U0101/28773/01315

37 07 14

July, 30 2007

2015816





Vehicle Information

Condition

Transmission, Will Not Shift Out of Park

Customer may state that the transmission will not shift out of Park.





Symptom may be accompanied by No Communication from Transmission Control Module (TCM) DTCs from table.

Technical Background

Fuse SC39 and/or SC14 may be open, missing or not properly seated.

Poor or corroded power and/ or ground connections.

Production Solution

No production change required.

Service

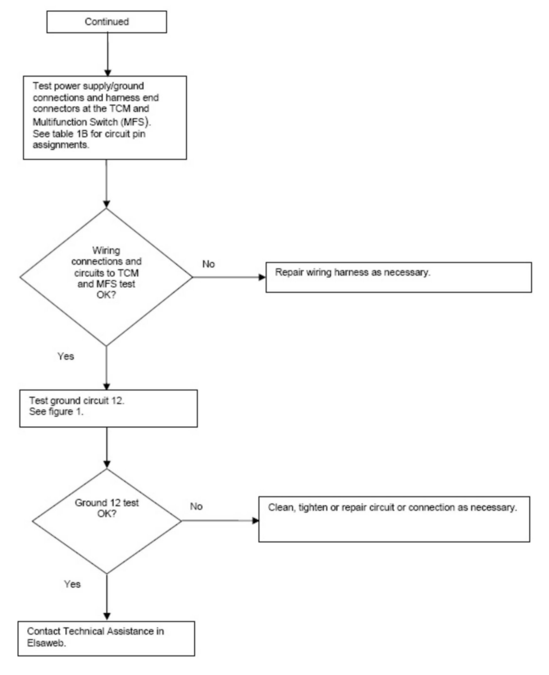
Testing Power Supply and Grounds

Tip:














Ensure proper operation of the shift interlock system before beginning diagnostics.

No Communication from TCM





Are any of the following DTCs stored in Fault Memory?





Yes: Follow guided Fault Finding Test Plan for repair, use table below for correct Pin assignment.

No: Follow Testing Power Supply and Grounds above.

Did the connections test OK between the Data Bus On Board Diagnostic Module Interface Module (J533 Gateway) and TCM (J217) circuits?





Yes: Test the Power Supply and Grounds circuits to Data Bus On Board Diagnostic Interface Module (J533, Gateway) and TCM (J217) listed below

Did the Power supply and Ground circuits to the Data Bus On Board Diagnostic Interface Module (J533 Gateway) and TCM (J217) test OK?

Yes: Contact technical assistance, select the "Technical Assistance" tab in Elsaweb and follow the instructions to obtain a 6 digit pin.

No: Repair harness wiring as necessary.

Warranty

Information only.

Required Parts and Tools

No Special Parts required.

No Special Tools required.

Additional Information

All part and service references provided in this Technical Bulletin are subject to change and/or removal.

Always check with your Parts Dept. and Repair Manuals for the latest information.